C. Prévost, Compt. Rend. 196, 1129 (1933), C.A. 27, 3195 (1933).
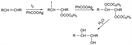
Hydroxylation of olefins with iodine and silver benzoate in an anhydrous solvent to give trans-glycols:

Reviews: C. V. Wilson, Org. React. 9, 350 (1957); F. D. Gunstone, Adv. Org. Chem. 1, 117 (1960); H. O. House, Modern Synthetic Reactions (W. A. Benjamin, Menlo Park, California, 2nd ed., 1972) p 438; S. Amin et al., J. Org. Chem. 46, 2573 (1981). Cf. Woodward cis-Hydroxylation.