R. Robinson, J. Chem. Soc. 111, 762, 876 (1917); C. Sch"opf, Angew. Chem. 50, 779, 797 (1937).
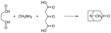
Synthesis of tropinones from a dialdehyde, methylamine and acetonedicarboxylic acid:

K. Alder et al., Ann. 601, 147 (1956); R. D. Guthrie, J. F. McCarthy, J. Chem. Soc. C 1967, 62; R. V. Stevens, A. W. M. Lee, J. Am. Chem. Soc. 101, 7032 (1979); M. Langlois et al., Synth. Commun. 22, 3115 (1992); T. Jarevang et al., Acta Chem. Scand. 52, 1350 (1998). Cf. Mannich Reaction; Petrenko-Kritschenko Piperidone Synthesis.