P. Rothemund, J. Am. Chem. Soc. 57, 2010 (1935); 61, 2912 (1939).
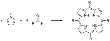
Preparation of meso-tetrasubstituted porphyrins by condensation of pyrrole with an aldehyde:

Ball et al., J. Am. Chem. Soc. 68, 2278 (1946); Thomas, Martell, ibid. 78, 1335 (1956). Mechanism: Badger et al., Aust. J. Chem. 17, 1028 (1964); R. G. Little, J. Heterocycl. Chem. 18, 833 (1981).