Y. Tu et al., J. Am. Chem. Soc. 118, 9806 (1996); Z.-X. Wang et al., ibid. 119, 11224 (1997).
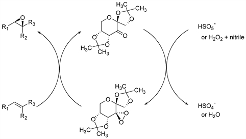
Enantioselective epoxidation of trans- and tri-substituted olefins using a fructose derived chiral ketone catalyst and potassium peroxomonosulfate or H2O2 as an oxidant:

Catalyst modification for epoxidation of cis-olefins: H. Tian et al., J. Am. Chem. Soc. 122, 11551 (2000). Use of hydrogen peroxide as the primary oxidant: L. Shu, Y, Shi, Tetrahedron 57, 5213 (2001). Epoxidation of terminal olefins: H. Tian et al., Org. Lett. 3, 1929 (2001). Isotope effects: D. A. Singleton, Z. Wang, J. Am. Chem. Soc. 127, 6679 (2005). Reviews: M. Frohn, Y. Shi, Synthesis 2000, 1979-2000; Y. Shi, Acc. Chem. Res. 37, 488-496 (2004).