H. Stobbe, Ber. 26, 2312 (1893); Ann. 282, 280 (1894).
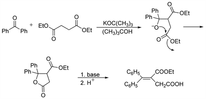
Condensation of aldehydes or ketones with diethyl succinate in the presence of a strong base to form monoesters of α-alkylidene (or arylidene) succinic acids:

Reviews: W. S. Johnson, G. H. Daub, Org. React. 6, 1 (1951); H. O. House, Modern Synthetic Reactions (W. A. Benjamin, Menlo Park, California, 2nd ed., 1972) pp 663-666; R. J. Hart, H. G. Heller, J. Chem. Soc. Perkin Trans. 1 1972, 1321; N. R. El-Rayyes, J. Prakt. Chem. 315, 295 (1973); V. B. Bagos et al., Helv. Chim. Acta 62, 90 (1979). Cf. Perkin Reaction.