G. Stork et al., J. Am. Chem. Soc. 76, 2029 (1954); G. Stork, H. Landesman, ibid. 78, 5128 (1956).
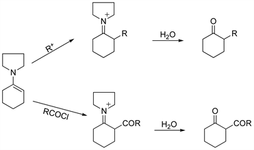
Synthesis of α-alkyl or α-acyl carbonyl compounds from enamines and alkyl or acyl halides:

Reviews: J. Szmuszkovicz, Adv. Org. Chem. 4, 1 (1963); A. G. Cook, Ed., Enamines (Marcel Dekker, New York, 1969); H. O. House, Modern Synthetic Reactions (W. A. Benjamin, Menlo Park, California, 2nd ed., 1972) pp 570-580, 766-772; S. F. Dyke, Chemistry of Enamines (Cambridge University Press, New York, 1973); P. W. Hickmott, Tetrahedron 38, 1975 (1982). Synthetic applications: C. F. Bridge, D. O'Hagan, J. Fluorine Chem. 82, 21 (1997); J. J. Li et al., Tetrahedron Lett. 39, 6111 (1998).