A. Strecker, Ann. 123, 363 (1862).
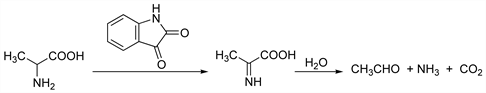
Interaction of an α-amino acid with a carbonyl compound in aqueous solution or suspension to give carbon dioxide and an aldehyde or ketone containing one less carbon atom. Inorganic oxidizing agents can also be used to bring about the reaction:

Early review: A. Sch"onberg, R. Moubacher, Chem. Rev. 50, 261 (1952). Photo-promoted oxidation: Y. Ogata et al., Bull. Chem. Soc. Jpn. 54, 2057 (1981). Synthetic studies: A. Sch"onberg et al., J. Chem. Soc. 1948, 176; C.-T. Ho, G. J. Hartman, J. Agric. Food Chem. 1982, 793; A. F. Ghiron et al., ibid. 36, 677 (1988); J. Koch et al., Carbohydr. Res. 313, 117 (1998).