F. N. Tebbe et al., J. Am. Chem. Soc. 100, 3611 (1978); S. H. Pine et al., ibid. 102, 3270 (1980).
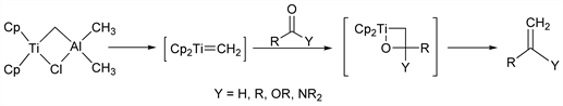
Exchange of the oxygen atom of a carbonyl function for the methylene group of the proposed titanium carbene complex (the Tebbe reagent) to yield terminal alkenes:

Comparative study with Wittig reaction, q.v.: S. H. Pines et al., Synthesis 1991, 165. Reviews: K. A. Brown-Wensley et al., Pure Appl. Chem. 55, 1733-1744 (1983); S. E. Kelly, Comp. Org. Syn. 1, 743-746 (1991); S. H. Pines, Org. React. 43, 1-91 (1993). Cf. Peterson Reaction.