H. Baron et al., J. Chem. Soc. 85, 1726 (1904); K. Ziegler et al., Ann. 504, 94 (1933).
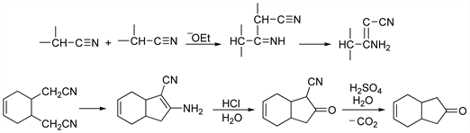
Base-catalyzed self-condensation of nitriles to yield imines which tautomerize to enamines:

Reviews: J. P. Schaefer, J. J. Bloomfield, Org. React. 15, 1 (1967); H. O. House, Modern Synthetic Reactions (W. Benjamin, Menlo Park, California, 2nd ed., 1972) p 742; E. C. Taylor, A. McKillop, Chemistry of Enaminonitriles and o-Aminonitriles (Wiley-Interscience, N.Y., 1970) pp 1-58; eidem, Adv. Org. Chem. 7, 1 (1970). Cf. Ziegler Method.