I. Ugi, Angew. Chem. Int. Ed. 1, 8 (1962).
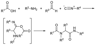
The α-addition of an iminium ion and the conjugate base of a carboxylic acid to an isocyanide, followed by spontaneous rearrangement of the α-adduct to yield an α-aminocarboxamide derivative. Carbonyl compounds and amines, or their condensation products, serve as precursors to the iminium ion. The nature of the product depends primarily on the acid component:

When four discrete reactants are used, the reaction is often referred to as the four-component condensation (4CC). Diastereoselective methods development: H. Kunz et al., Synthesis 1991, 1039; M. Goebel, I. Ugi, ibid. 1095. Synthetic applications: T. Ziegler et al., Tetrahedron Lett. 39, 5957 (1998); eidem, Tetrahedron 55, 8397 (1999). Reviews: I. Ugi, Proc. Est. Acad. Sci. Chem. 40, 1-13 (1991); I. Ugi et al., Comp. Org. Syn. 2, 1083-1109 (1991).