F. Urech, Ann. 165, 99 (1873).
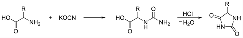
Formation of hydantoins from α-amino acids by treatment with potassium cyanate in aqueous solution and heating the salt of the intermediate hydantoic acid with 25% hydrochloric acid:

H. D. Dakin, Am. Chem. J. 44, 48 (1910); T. B. Johnson, J. Am. Chem. Soc. 35, 780 (1913); W. J. Boyd, W. Robson, Biochem. J. 29, 542, 546, 2256 (1935); E. Ware, Chem. Rev. 46, 407 (1950); M. Sainsbury, R. S. Theobald, Rodd's Chemistry of Carbon Compounds IVC, 185 (1986).