A. Vilsmeier, A. Haack, Ber. 60, 119 (1927).
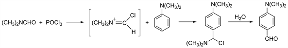
Formylation of activated aromatic or heterocyclic compounds with disubstituted formamides and phosphorus oxychloride:

Reviews: M. R. de Maheas, Bull. Soc. Chim. Fr. 1962, 1989; W. G. Jackson et al., J. Am. Chem. Soc. 103, 533 (1981); C. Jutz, Adv. Org. Chem. 9, 225-342 (1976); O. Meth-Cohn, S. P. Stanforth, Comp. Org. Syn. 2, 777-794 (1991).