P. Walden, Ber. 28, 1287, 2766 (1895).
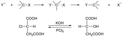
Inversion of configuration of a chiral center in bimolecular nucleophilic substitution (Sn2) reactions:

H. A. Bent, Chem. Rev. 68, 587 (1968); D. P. G. Harmon, J. Chem. Educ. 47, 398 (1970); L. Kryger et al., Acta Chem. Scand. 26, 2339, 2349 (1972); C. W. Shoppee, J. Nemorin, J. Chem. Soc. Perkin Trans. 1 1973, 542; K.-C. To et al., J. Chem. Phys. 74, 1499 (1981).