T. Westphalen, Ber. 48, 1064 (1915); H. Lettré, M. Müller, ibid. 70, 1947 (1937).
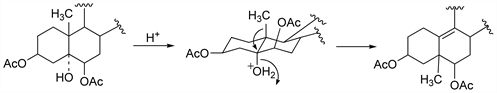
Dehydration of 5-hydroxycholesterol derivatives accompanied by C-10 to C-5 methyl migration in compounds with a β-substituent at C-6:

Early review: N. L. Wendler in Molecular Rearrangements Part 2, P. de Mayo, Ed. (Wiley-Interscience, New York, 1964) p 1027. A. T. Rowland, J. Org. Chem. 29, 222 (1964); J. W. Blunt et al., Tetrahedron 21, 1567 (1965); K. Kieslich, G. Schulz, Ann. 726, 152 (1969); B. Marples, J. G. L. Jones, J. Chem. Soc. C 1970, 2273; J. Wicha, Tetrahedron Lett. 1972, 2877; P. Kocovsky et al., Collect. Czech. Chem. Commun. 44, 234 (1979).