< previous page page_237 next page >

Page 237
12794-0237a.gif
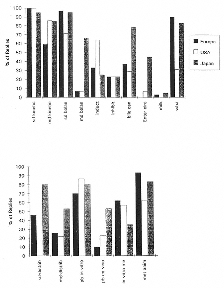
Fig. 6
Survey of the extent of nonclinical kinetics undertaken by companies in Europe,
USA, and Japan before Phase I: sd = single dose, md = multiple dose, met =
metabolism, balan = radioactive balance studies, induct = induction,
inhibit = inhibition, enter circ = enterohepatic recirculation, distrib = distribution,
spec anim = special animals, pb = species binding, can = cannulation,
wba = whole body autoradiography. (From Ref. 58.)

 
< previous page page_237 next page >