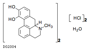
Apomorphine hydrochloride


Entry
D02004                      Drug                                   
Name
Apomorphine hydrochloride (USP);
Apomorphine hydrochloride hydrate (JAN);
Apokyn (TN);
Ixense (TN);
Uprima (TN)
Product
APOKYN (MDD US Operations), KYNMOBI (Sunovion Pharmaceuticals)
  Generic
APOMORPHINE HYDROCLORIDE (TruPharma)
Formula
(C17H17NO2)2. 2HCl. H2O
Exact mass
624.2158
Mol weight
625.5819
Structure
Class
Neuropsychiatric agent
 DG01472  Dopamine agonist
 DG01967  Antiparkinson agent
Remark
Therapeutic category: 1169
ATC code: G04BE07 N04BC07
Chemical structure group: DG00486
Product (DG00486): D02004<JP/US>
Efficacy
Antiparkinsonian, Emetic, Dopamine receptor agonist
  Disease
Parkinson disease [DS:H00057]
Target
DRD1 [HSA:1812] [KO:K04144]
DRD2 [HSA:1813] [KO:K04145]
  Pathway
hsa04080  Neuroactive ligand-receptor interaction
hsa04728  Dopaminergic synapse
hsa05012  Parkinson disease
Interaction
Structure map
map07057  Antiparkinsonian agents
map07213  Dopamine receptor agonists/antagonists
Brite
Anatomical Therapeutic Chemical (ATC) classification [BR:br08303]
 G GENITO URINARY SYSTEM AND SEX HORMONES
  G04 UROLOGICALS
   G04B UROLOGICALS
    G04BE Drugs used in erectile dysfunction
     G04BE07 Apomorphine
      D02004  Apomorphine hydrochloride (USP) <JP/US>
 N NERVOUS SYSTEM
  N04 ANTI-PARKINSON DRUGS
   N04B DOPAMINERGIC AGENTS
    N04BC Dopamine agonists
     N04BC07 Apomorphine
      D02004  Apomorphine hydrochloride (USP) <JP/US>
USP drug classification [BR:br08302]
 Antiparkinson Agents
  Dopamine Agonists
   Apomorphine
    D02004  Apomorphine hydrochloride (USP)
Therapeutic category of drugs in Japan [BR:br08301]
 1  Agents affecting nervous system and sensory organs
  11  Agents affecting central nervous system
   116  Antiparkinsonian agents
    1169  Others
     D02004  Apomorphine hydrochloride (USP); Apomorphine hydrochloride hydrate (JAN)
Drug groups [BR:br08330]
 Neuropsychiatric agent
  DG01472  Dopamine agonist
   DG00486  Apomorphine
    D02004  Apomorphine hydrochloride
  DG01967  Antiparkinson agent
   DG00486  Apomorphine
    D02004  Apomorphine hydrochloride
Drug classes [BR:br08332]
 Neuropsychiatric agent
  DG01967  Antiparkinson agent
   D02004  Apomorphine hydrochloride
Target-based classification of drugs [BR:br08310]
 G Protein-coupled receptors
  Rhodopsin family
   Dopamine
    DRD1
     D02004  Apomorphine hydrochloride (USP) <JP/US>
    DRD2
     D02004  Apomorphine hydrochloride (USP) <JP/US>
New drug approvals in the USA [br08319.html]
 New molecular entities and new therapeutic biological products
  D02004
New drug approvals in Japan [br08318.html]
 Drugs with new active ingredients
  D02004
New drug approvals in the USA, Europe and Japan [br08328.html]
 Approval dates by FDA, EMA and PMDA
  D02004
Drug groups [BR:br08330]
 Neuropsychiatric agent
  DG01472  Dopamine agonist
   DG00486  Apomorphine
  DG01967  Antiparkinson agent
   DG00486  Apomorphine
Other DBs
CAS: 41372-20-7
PubChem: 7849066
ChEBI: 31228
LigandBox: D02004
KCF data

ATOM        43
            1   X   Cl   33.3062  -14.8324
            2   O0  O    33.6561  -17.2812
            3   C8x C    19.8800  -17.2200
            4   C8x C    19.8800  -18.6200
            5   C8x C    21.0700  -19.3200
            6   C8y C    22.3300  -18.6200
            7   C8y C    22.3300  -17.2200
            8   C8y C    21.0700  -16.5200
            9   C1x C    23.5200  -19.3200
            10  C1x C    24.7100  -18.6200
            11  N1y N    24.7100  -17.2200
            12  C1y C    23.5200  -16.5200
            13  C1x C    23.5200  -15.1200
            14  C8y C    22.3300  -14.4200
            15  C8y C    21.0700  -15.1200
            16  C8x C    22.3300  -13.0200
            17  C8x C    21.0700  -12.3200
            18  C8y C    19.8800  -13.0200
            19  C8y C    19.8800  -14.4200
            20  C1a C    25.9700  -16.5200
            21  O1a O    18.6900  -12.3200
            22  O1a O    18.6900  -15.1200
            23  X   Cl   33.3062  -14.8324
            24  C8x C    19.8800  -17.2200
            25  C8x C    19.8800  -18.6200
            26  C8x C    21.0700  -19.3200
            27  C8y C    22.3300  -18.6200
            28  C8y C    22.3300  -17.2200
            29  C8y C    21.0700  -16.5200
            30  C8y C    21.0700  -15.1200
            31  C8y C    22.3300  -14.4200
            32  C1x C    23.5200  -15.1200
            33  C1y C    23.5200  -16.5200
            34  N1y N    24.7100  -17.2200
            35  C1x C    24.7100  -18.6200
            36  C1x C    23.5200  -19.3200
            37  C1a C    25.9700  -16.5200
            38  C8x C    22.3300  -13.0200
            39  C8x C    21.0700  -12.3200
            40  C8y C    19.8800  -13.0200
            41  C8y C    19.8800  -14.4200
            42  O1a O    18.6900  -15.1200
            43  O1a O    18.6900  -12.3200
BOND        46
            1     3   4 2
            2     4   5 1
            3     5   6 2
            4     6   7 1
            5     7   8 2
            6     3   8 1
            7     6   9 1
            8     9  10 1
            9    10  11 1
            10   11  12 1
            11    7  12 1
            12   12  13 1
            13   13  14 1
            14   14  15 2
            15    8  15 1
            16   14  16 1
            17   16  17 2
            18   17  18 1
            19   18  19 2
            20   15  19 1
            21   11  20 1
            22   18  21 1
            23   19  22 1
            24   24  25 2
            25   25  26 1
            26   26  27 2
            27   27  28 1
            28   28  29 2
            29   24  29 1
            30   27  36 1
            31   36  35 1
            32   35  34 1
            33   34  33 1
            34   28  33 1
            35   33  32 1
            36   32  31 1
            37   31  30 2
            38   29  30 1
            39   31  38 1
            40   38  39 2
            41   39  40 1
            42   40  41 2
            43   30  41 1
            44   34  37 1
            45   40  43 1
            46   41  42 1
BRACKET     1    31.5700  -15.6100   31.5700  -14.0700
            1    34.1600  -14.0700   34.1600  -15.6100
            1  2
 ORIGINAL  1    1
 REPEAT    1   24
            2    16.7300  -20.2300   16.7300  -11.4800
            2    28.2100  -11.4800   28.2100  -20.2300
            2  2
 ORIGINAL  2    3   4   5   6   7   8  15  14  13  12  11  10   9  21  20  16
            2   17  18  19  23  22
 REPEAT    2   25  26  27  28  29  30  31  32  33  34  35  36  37  38  39  40
            2   41  42  43  44  45