| Entry |
|
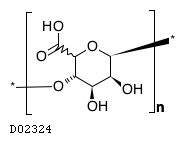
| Name |
Alginic acid (NF) |
| Formula |
(C6H8O6)n
|
| Structure |

|
| Simcomp |
|
| Class |
Gastrointestinal agent
DG01975 Agents for peptic ulcer
DG02008 Gastric mucosal protectant
|
| Remark |
| Same as: | C01768 G00316 G07287 G07471 G08476 G10593 |
| Chemical structure group: | DG00028 |
| Product (DG00028): | D03336<JP> |
|
| Efficacy |
Pharmaceutic aid (emulsifying, tablet binder) |
| Interaction |
|
| Brite |
Anatomical Therapeutic Chemical (ATC) classification [BR:br08303]
A ALIMENTARY TRACT AND METABOLISM
A02 DRUGS FOR ACID RELATED DISORDERS
A02B DRUGS FOR PEPTIC ULCER AND GASTRO-OESOPHAGEAL REFLUX DISEASE (GORD)
A02BX Other drugs for peptic ulcer and gastro-oesophageal reflux disease (GORD)
A02BX13 Alginic acid
D02324 Alginic acid (NF)
Drug groups [BR:br08330]
Gastrointestinal agent
DG01975 Agents for peptic ulcer
DG02008 Gastric mucosal protectant
DG00028 Alginic acid
D02324 Alginic acid
Drug groups [BR:br08330]
Gastrointestinal agent
DG01975 Agents for peptic ulcer
DG02008 Gastric mucosal protectant
DG00028 Alginic acid
|
| Other DBs |
|
| KCF data |
ATOM 14
1 C1y C 17.4300 -15.7500
2 C1y C 17.4300 -17.1500
3 C1y C 18.6424 -17.8500
4 C1y C 19.8549 -17.1500
5 C1x C 19.8549 -15.7500
6 O2x O 18.6424 -15.0500
7 Z * 24.2173 -14.6300
8 C6a C 16.2176 -15.0500
9 O1a O 18.6424 -19.2498
10 O6a O 15.0221 -15.7404
11 O6a O 16.2175 -13.6502
12 O1a O 21.0860 -18.0710
13 O1a O 16.2176 -17.8500
14 Z * 12.9976 -17.9200
BOND 14
1 1 2 1
2 2 3 1
3 3 4 1
4 4 5 1
5 5 6 1
6 1 6 1
7 5 7 1 #Up
8 1 8 1 #Either
9 3 9 1 #Up
10 8 10 2
11 8 11 1
12 4 12 1 #Up
13 2 13 1 #Down
14 13 14 1
BRACKET 1 14.3500 -19.8100 14.3500 -12.6700
1 22.6100 -12.5300 22.6100 -19.6700
1 n
ORIGINAL 1 1 2 3 4 5 6 8 9 10 11 12 13
REPEAT 1
|