Tocopherol


Entry
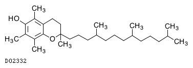
D02332                      Drug                                   
Name
Tocopherol (JP18);
dl-alpha-Tocopherol
Formula
C29H50O2
Exact mass
430.3811
Mol weight
430.7061
Structure
Simcomp
Remark
ATC code: A11HA03
Chemical structure group: DG00129
Product (DG00129): D01530<JP> D01735<JP>
Product (mixture): D04805<JP>
Efficacy
Supplement (vitamin E)
Brite
Anatomical Therapeutic Chemical (ATC) classification [BR:br08303]
 A ALIMENTARY TRACT AND METABOLISM
  A11 VITAMINS
   A11H OTHER PLAIN VITAMIN PREPARATIONS
    A11HA Other plain vitamin preparations
     A11HA03 Tocopherol (vit E)
      D02332  Tocopherol (JP18)
Classification of Japanese OTC drugs [BR:br08313]
 Nourishing tonics and health supplements
  34 Vitamin E based drugs
   D02332  Tocopherol (JP18)
Risk category of Japanese OTC drugs [BR:br08312]
 Third-class OTC drugs
  Inorganic and organic chemicals
   Tocopherol
    D02332  Tocopherol (JP18)
Drugs listed in the Japanese Pharmacopoeia [BR:br08311]
 Chemicals
  D02332  Tocopherol
Other DBs
CAS: 10191-41-0
PubChem: 7849391
ChEBI: 22470
LigandBox: D02332
KCF data

ATOM        31
            1   C8y C    11.3120  -16.1897
            2   C8y C    11.3120  -14.8341
            3   O2x O    12.5741  -16.8908
            4   C8y C    10.1434  -16.8908
            5   C1x C    12.5741  -14.0863
            6   C8y C    10.1434  -14.0863
            7   C1z C    13.7427  -16.1897
            8   C8y C     8.8814  -16.1897
            9   C1a C    10.1434  -18.2931
            10  C1x C    13.7427  -14.8341
            11  C8y C     8.8814  -14.8341
            12  C1b C    15.0047  -16.8908
            13  C1a C    13.7427  -17.5452
            14  C1a C     7.6660  -16.8908
            15  O1a O     7.6660  -14.0863
            16  C1b C    16.1732  -16.2832
            17  C1b C    17.4353  -16.9843
            18  C1c C    18.6506  -16.3299
            19  C1b C    19.8659  -17.0777
            20  C1a C    18.6506  -14.9743
            21  C1b C    21.0812  -16.3299
            22  C1b C    22.2967  -17.0777
            23  C1c C    23.5119  -16.3766
            24  C1b C    24.7272  -17.1245
            25  C1a C    23.5119  -15.0211
            26  C1b C    25.9426  -16.4702
            27  C1b C    27.1579  -17.2180
            28  C1c C    28.3731  -16.4702
            29  C1a C    28.3731  -15.1146
            30  C1a C    29.5885  -17.2180
            31  C1a C    10.1676  -12.6701
BOND        32
            1     1   2 1
            2     1   3 1
            3     1   4 2
            4     2   5 1
            5     2   6 2
            6     3   7 1
            7     4   8 1
            8     4   9 1
            9     5  10 1
            10    6  11 1
            11    7  12 1
            12    7  13 1
            13    8  14 1
            14   11  15 1
            15   12  16 1
            16   16  17 1
            17   17  18 1
            18   18  19 1
            19   18  20 1
            20   19  21 1
            21   21  22 1
            22   22  23 1
            23   23  24 1
            24   23  25 1
            25   24  26 1
            26   26  27 1
            27   27  28 1
            28   28  29 1
            29   28  30 1
            30    7  10 1
            31    8  11 2
            32    6  31 1