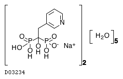
Sodium risedronate hydrate


Entry
D03234                      Drug                                   
Name
Sodium risedronate hydrate (JP18);
Sodium risedronate hemipentahydrate;
Actonel (TN)
Product
ATELVIA (Allergan)
  Generic
RISEDRONATE SODIUM (Apotex Corp.), RISEDRONATE SODIUM (Aurobindo Pharma Limited), RISEDRONATE SODIUM (Aurobindo Pharma Limited), RISEDRONATE SODIUM (Cadila Healthcare Limited), RISEDRONATE SODIUM (Greenstone LLC), RISEDRONATE SODIUM (Greenstone LLC), RISEDRONATE SODIUM (Hangzhou Minsheng Binjiang Pharmaceutical), RISEDRONATE SODIUM (Macleods Pharmaceuticals Limited), RISEDRONATE SODIUM (Sun Pharmaceutical Industries), RISEDRONATE SODIUM (Zydus Pharmaceuticals (USA))
Formula
(C7H10NO7P2. Na)2. 5H2O
Exact mass
700.0189
Mol weight
700.2646
Structure
Class
Musculo-skeletal system agent
 DG03232  Osteoporosis agent
  DG01600  Bisphosphonate
Remark
Therapeutic category: 3999
ATC code: M05BA07
Chemical structure group: DG00786
Product (DG00786): D00942<US> D03234<JP/US> D11570<US>
Efficacy
Antiresorptive, Osteoporosis agent, Farnesylpyrophosphate synthetase inhibitor
  Disease
Osteoporosis [DS:H01593]
Glucocorticoid-induced osteoporosis [DS:H01709]
Paget's disease of bone [DS:H00437]
Comment
Bisphosphonate
Target
FDPS [HSA:2224] [KO:K00787]
  Pathway
hsa00900  Terpenoid backbone biosynthesis
Interaction
Structure map
map07047  Osteoporosis drugs
Brite
Anatomical Therapeutic Chemical (ATC) classification [BR:br08303]
 M MUSCULO-SKELETAL SYSTEM
  M05 DRUGS FOR TREATMENT OF BONE DISEASES
   M05B DRUGS AFFECTING BONE STRUCTURE AND MINERALIZATION
    M05BA Bisphosphonates
     M05BA07 Risedronic acid
      D03234  Sodium risedronate hydrate (JP18) <JP/US>
USP drug classification [BR:br08302]
 Metabolic Bone Disease Agents
  Bisphosphonates
   Risedronate
    D03234  Sodium risedronate hydrate (JP18)
Therapeutic category of drugs in Japan [BR:br08301]
 3  Agents affecting metabolism
  39  Other agents affecting metabolism
   399  Miscellaneous
    3999  Others
     D03234  Sodium risedronate hydrate (JP18)
Drug groups [BR:br08330]
 Musculo-skeletal system agent
  DG03232  Osteoporosis agent
   DG01600  Bisphosphonate
    DG00786  Risedronic acid
     D03234  Sodium risedronate hydrate
Drug classes [BR:br08332]
 Musculo-skeletal system agent
  DG03232  Osteoporosis agent
   D03234  Sodium risedronate hydrate
Target-based classification of drugs [BR:br08310]
 Enzymes
  Transferases (EC2)
   Alkyl/Aryl transferases
    FDPS
     D03234  Sodium risedronate hydrate (JP18) <JP/US>
Drugs listed in the Japanese Pharmacopoeia [BR:br08311]
 Chemicals
  D03234  Sodium risedronate hydrate
  D03234  Sodium risedronate tablets
New drug approvals in Japan [br08318.html]
 Drugs with new active ingredients
  D03234
Drug groups [BR:br08330]
 Musculo-skeletal system agent
  DG03232  Osteoporosis agent
   DG01600  Bisphosphonate
    DG00786  Risedronic acid
Other DBs
PubChem: 17397387
LigandBox: D03234
KCF data

ATOM        41
            1   O0  O    32.9000  -23.7300
            2   Z   Na   27.0200  -25.2000 #+
            3   C1d C    22.9600  -23.8700
            4   P1b P    24.1500  -24.5000
            5   P1b P    21.7700  -24.5000
            6   C1b C    22.9600  -22.5400
            7   C8y C    24.1500  -21.8400
            8   C8x C    25.2700  -22.5400
            9   N5x N    26.4600  -21.8400
            10  C8x C    26.4600  -20.4400
            11  C8x C    25.2700  -19.7400
            12  C8x C    24.1500  -20.4400
            13  O1c O    20.5800  -23.8700
            14  O1c O    21.7700  -25.9000
            15  O1c O    20.2300  -25.4800
            16  O1c O    25.2700  -23.8700
            17  O1c O    24.1500  -25.9000
            18  O1c O    25.2700  -25.2000 #-
            19  O1a O    22.9600  -25.2700
            20  O0  O    32.9000  -23.7300
            21  O0  O    32.9000  -23.7300
            22  O0  O    32.9000  -23.7300
            23  O0  O    32.9000  -23.7300
            24  Z   Na   27.0200  -25.2000 #+
            25  C1d C    22.9600  -23.8700
            26  P1b P    24.1500  -24.5000
            27  O1c O    25.2700  -23.8700
            28  O1c O    24.1500  -25.9000
            29  O1c O    25.2700  -25.2000 #-
            30  P1b P    21.7700  -24.5000
            31  O1c O    20.5800  -23.8700
            32  O1c O    21.7700  -25.9000
            33  O1c O    20.2300  -25.4800
            34  C1b C    22.9600  -22.5400
            35  C8y C    24.1500  -21.8400
            36  C8x C    25.2700  -22.5400
            37  N5x N    26.4600  -21.8400
            38  C8x C    26.4600  -20.4400
            39  C8x C    25.2700  -19.7400
            40  C8x C    24.1500  -20.4400
            41  O1a O    22.9600  -25.2700
BOND        34
            1     3   4 1
            2     3   5 1
            3     3   6 1
            4     6   7 1
            5     7   8 2
            6     8   9 1
            7     9  10 2
            8    10  11 1
            9    11  12 2
            10    7  12 1
            11    5  13 2
            12    5  14 1
            13    5  15 1
            14    4  16 2
            15    4  17 1
            16    4  18 1
            17    3  19 1
            18   25  26 1
            19   25  30 1
            20   25  34 1
            21   34  35 1
            22   35  36 2
            23   36  37 1
            24   37  38 2
            25   38  39 1
            26   39  40 2
            27   35  40 1
            28   30  31 2
            29   30  32 1
            30   30  33 1
            31   26  27 2
            32   26  28 1
            33   26  29 1
            34   25  41 1
BRACKET     1    30.8000  -24.7100   30.8000  -22.8200
            1    33.5300  -22.8200   33.5300  -24.7100
            1  5
 ORIGINAL  1    1
 REPEAT    1   20  21  22  23
            2    18.4800  -27.8600   18.4800  -19.1800
            2    28.9100  -19.1800   28.9100  -27.8600
            2  2
 ORIGINAL  2    2   3   4  16  17  18   5  13  14  15   6   7   8   9  10  11
            2   12  19
 REPEAT    2   24  25  26  27  28  29  30  31  32  33  34  35  36  37  38  39
            2   40  41