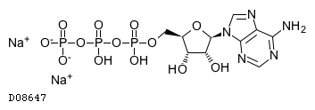
Triphosadenine disodium salt


Entry
D08647                      Drug                                   
Name
Triphosadenine disodium salt;
Adenosine triphosphate disodium;
Atenen (TN)
Formula
C10H14N5O13P3. 2Na
Exact mass
550.9596
Mol weight
551.1447
Structure
Simcomp
Remark
ATC code: C01EB10
Chemical structure group: DG00243
Product (DG00243): D00045<JP/US> D02300<JP>
Efficacy
Vasodilator
Target
ADORA [HSA:134 135 136 140] [KO:K04265 K04266 K04267 K04268]
  Pathway
hsa04080  Neuroactive ligand-receptor interaction
Interaction
Brite
Anatomical Therapeutic Chemical (ATC) classification [BR:br08303]
 C CARDIOVASCULAR SYSTEM
  C01 CARDIAC THERAPY
   C01E OTHER CARDIAC PREPARATIONS
    C01EB Other cardiac preparations
     C01EB10 Adenosine
      D08647  Triphosadenine disodium salt
Risk category of Japanese OTC drugs [BR:br08312]
 Second-class OTC drugs
  Inorganic and organic chemicals
   Adenosinetriphosphoric acid
    D08647  Triphosadenine disodium salt
Target-based classification of drugs [BR:br08310]
 G Protein-coupled receptors
  Rhodopsin family
   Adenosine
    ADORA
     D08647  Triphosadenine disodium salt
Other DBs
CAS: 987-65-5
PubChem: 96025330
LigandBox: D08647
NIKKAJI: J356.135F J53.503F
KCF data

ATOM        33
            1   N4y N    34.3003  -19.8101
            2   C8y C    35.3503  -20.5101
            3   C1y C    33.0402  -20.2301
            4   C8x C    34.7903  -18.4101
            5   C8y C    36.6103  -19.6001
            6   N5x N    35.4903  -21.9101
            7   O2x O    31.9202  -19.3201
            8   C1y C    32.6202  -21.4201
            9   N5x N    36.2603  -18.4101
            10  C8y C    37.8703  -20.1601
            11  C8x C    36.8203  -22.5401
            12  C1y C    30.8002  -20.1601
            13  C1y C    31.2202  -21.4201
            14  O1a O    33.3903  -22.6101
            15  N5x N    38.0103  -21.6301
            16  N1a N    38.9903  -19.3201
            17  C1b C    29.4702  -19.7401
            18  O1a O    30.8002  -22.7501
            19  O2b O    28.4201  -20.6501
            20  P1b P    27.0201  -20.6501
            21  O2c O    25.6201  -20.6501
            22  O1c O    27.0201  -22.0501
            23  O1c O    27.0201  -19.2501
            24  P1b P    24.2201  -20.6501
            25  O2c O    22.8201  -20.6501
            26  O1c O    24.2201  -22.0501
            27  O1c O    24.2201  -19.2501
            28  P1b P    21.4201  -20.6501
            29  O1c O    21.4201  -22.0501 #-
            30  O1c O    20.0201  -20.6501 #-
            31  O1c O    21.4201  -19.2501
            32  Z   Na   20.8601  -23.5901 #+
            33  Z   Na   17.5000  -20.6500 #+
BOND        33
            1     1   2 1
            2     3   1 1 #Up
            3     1   4 1
            4     2   5 2
            5     2   6 1
            6     3   7 1
            7     3   8 1
            8     4   9 2
            9     5  10 1
            10    6  11 2
            11    7  12 1
            12    8  13 1
            13    8  14 1 #Down
            14   10  15 2
            15   10  16 1
            16   12  17 1 #Up
            17   13  18 1 #Down
            18   17  19 1
            19   19  20 1
            20   20  21 1
            21   20  22 1
            22   20  23 2
            23   21  24 1
            24   24  25 1
            25   24  26 1
            26   24  27 2
            27   25  28 1
            28   28  29 1
            29   28  30 1
            30   28  31 2
            31    5   9 1
            32   11  15 1
            33   12  13 1