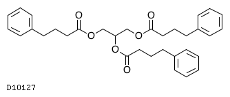
Glycerol phenylbutyrate


Entry
D10127                      Drug                                   
Name
Glycerol phenylbutyrate (USAN);
Ravicti (TN)
Product
RAVICTI (Horizon Therapeutics)
Formula
C33H38O6
Exact mass
530.2668
Mol weight
530.6512
Structure
Remark
ATC code: A16AX09
Product: D10127<US>
Efficacy
Urea cycle disorder agent, Nitrogen binding agent
  Disease
Urea cycle disorders [DS:H01398]
Brite
Anatomical Therapeutic Chemical (ATC) classification [BR:br08303]
 A ALIMENTARY TRACT AND METABOLISM
  A16 OTHER ALIMENTARY TRACT AND METABOLISM PRODUCTS
   A16A OTHER ALIMENTARY TRACT AND METABOLISM PRODUCTS
    A16AX Various alimentary tract and metabolism products
     A16AX09 Glycerol phenylbutyrate
      D10127  Glycerol phenylbutyrate (USAN) <US>
USP drug classification [BR:br08302]
 Genetic, Enzyme, or Protein Disorder: Replacement, Modifiers, Treatment
  Glycerol Phenylbutyrate
   D10127  Glycerol phenylbutyrate (USAN)
New drug approvals in Europe [br08329.html]
 European public assessment reports (EPAR) authorised medicine
  D10127
Pharmacogenomic biomarkers [br08341.html]
 Germline mutations in genetic disorder treatments
  D10127
Other DBs
CAS: 611168-24-2
PubChem: 135626845
LigandBox: D10127
KCF data

ATOM        39
            1   O7a O    22.1200  -20.5100
            2   C1b C    23.3100  -19.8100
            3   C1c C    24.5700  -20.5100
            4   C1b C    25.7600  -19.8100
            5   O7a O    26.9500  -20.5100
            6   O7a O    24.5700  -21.9100
            7   C7a C    28.2100  -19.8100
            8   C1b C    29.4000  -20.5100
            9   O6a O    28.2100  -18.4100
            10  C1b C    30.5900  -19.8100
            11  C1b C    31.7800  -20.5100
            12  C8y C    32.9700  -19.8100
            13  C8x C    34.1600  -20.5100
            14  C8x C    35.4200  -19.8100
            15  C8x C    35.4200  -18.3400
            16  C8x C    34.1600  -17.7100
            17  C8x C    32.9700  -18.4100
            18  C7a C    20.8600  -19.8100
            19  O6a O    20.8600  -18.4100
            20  C1b C    19.6700  -20.5100
            21  C1b C    18.4800  -19.8100
            22  C1b C    17.2900  -20.5100
            23  C8y C    16.1000  -19.8100
            24  C8x C    16.1000  -18.4100
            25  C8x C    14.9100  -17.6400
            26  C8x C    13.6500  -18.4100
            27  C8x C    13.6500  -19.8100
            28  C8x C    14.9100  -20.5100
            29  C7a C    25.7600  -22.6100
            30  C1b C    27.0200  -21.9100
            31  O6a O    25.7600  -24.0100
            32  C1b C    28.2100  -22.6100
            33  C1b C    29.4000  -21.9100
            34  C8y C    30.5900  -22.6100
            35  C8x C    30.5900  -24.0100
            36  C8x C    31.7800  -24.7100
            37  C8x C    33.0400  -24.0100
            38  C8x C    33.0400  -22.6100
            39  C8x C    31.7800  -21.9100
BOND        41
            1     1   2 1
            2     2   3 1
            3     3   4 1
            4     4   5 1
            5     3   6 1
            6     5   7 1
            7     7   8 1
            8     7   9 2
            9     8  10 1
            10   10  11 1
            11   11  12 1
            12   12  13 2
            13   13  14 1
            14   14  15 2
            15   15  16 1
            16   16  17 2
            17   12  17 1
            18    1  18 1
            19   18  19 2
            20   18  20 1
            21   20  21 1
            22   21  22 1
            23   22  23 1
            24   23  24 2
            25   24  25 1
            26   25  26 2
            27   26  27 1
            28   27  28 2
            29   23  28 1
            30    6  29 1
            31   29  30 1
            32   29  31 2
            33   30  32 1
            34   32  33 1
            35   33  34 1
            36   34  35 2
            37   35  36 1
            38   36  37 2
            39   37  38 1
            40   38  39 2
            41   34  39 1