Perampanel hydrate


Entry
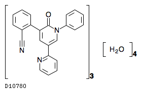
D10780                      Drug                                   
Name
Perampanel hydrate (JAN);
Fycompa (TN)
Product
FYCOMPA (Eisai)
Formula
(C23H15N3O)3. 4H2O
Exact mass
1119.4068
Mol weight
1120.2152
Structure
Class
Neuropsychiatric agent
 DG03199  Antiepileptic agent
  DG01569  AMPA receptor antagonist
Metabolizing enzyme substrate
 DG01633  CYP3A/CYP3A4 substrate
Remark
Therapeutic category: 1139
ATC code: N03AX22
Chemical structure group: DG01901
Product (DG01901): D10780<JP/US>
Efficacy
Antiepileptic, AMPA receptor antagonist
Target
GRIA [HSA:2890 2891 2892 2893] [KO:K05197 K05198 K05199 K05200]
  Pathway
hsa04080  Neuroactive ligand-receptor interaction
hsa04724  Glutamatergic synapse
hsa04728  Dopaminergic synapse
Metabolism
Enzyme: CYP3A [HSA:1576 1577 1551]
Interaction
Brite
Anatomical Therapeutic Chemical (ATC) classification [BR:br08303]
 N NERVOUS SYSTEM
  N03 ANTIEPILEPTICS
   N03A ANTIEPILEPTICS
    N03AX Other antiepileptics
     N03AX22 Perampanel
      D10780  Perampanel hydrate (JAN) <JP/US>
USP drug classification [BR:br08302]
 Anticonvulsants
  Anticonvulsants, Other
   Perampanel
    D10780  Perampanel hydrate (JAN)
Therapeutic category of drugs in Japan [BR:br08301]
 1  Agents affecting nervous system and sensory organs
  11  Agents affecting central nervous system
   113  Antiepileptics
    1139  Others
     D10780  Perampanel hydrate (JAN)
Drug groups [BR:br08330]
 Neuropsychiatric agent
  DG03199  Antiepileptic agent
   DG01569  AMPA receptor antagonist
    DG01901  Perampanel
     D10780  Perampanel hydrate
 Metabolizing enzyme substrate
  DG01633  CYP3A/CYP3A4 substrate
   DG01901  Perampanel
    D10780  Perampanel hydrate
Target-based classification of drugs [BR:br08310]
 Ion channels
  Ligand-gated ion channels
   Glutamate (ionotropic), non-NMDA
    GRIA
     D10780  Perampanel hydrate (JAN) <JP/US>
New drug approvals in the USA [br08319.html]
 New molecular entities and new therapeutic biological products
  D10780
New drug approvals in Europe [br08329.html]
 European public assessment reports (EPAR) authorised medicine
  D10780
New drug approvals in Japan [br08318.html]
 Drugs with new active ingredients
  D10780
New drug approvals in the USA, Europe and Japan [br08328.html]
 Approval dates by FDA, EMA and PMDA
  D10780
Drug metabolizing enzymes and transporters [br08309.html]
 Drug metabolizing enzymes
  D10780
Drug groups [BR:br08330]
 Neuropsychiatric agent
  DG03199  Antiepileptic agent
   DG01569  AMPA receptor antagonist
    DG01901  Perampanel
 Metabolizing enzyme substrate
  DG01633  CYP3A/CYP3A4 substrate
   DG01901  Perampanel
Other DBs
CAS: 1571982-04-1
PubChem: 313046638
KCF data

ATOM        85
            1   C8x C    13.7779  -12.3092
            2   C8x C    13.7779  -13.7079
            3   C8y C    15.0367  -14.4073
            4   C8y C    16.2257  -13.7079
            5   C8x C    16.2257  -12.3092
            6   C8x C    15.0367  -11.6098
            7   C8y C    17.4846  -14.4772
            8   C8x C    17.4846  -15.8760
            9   C8y C    18.6735  -16.5754
            10  C8x C    19.8625  -15.8760
            11  N4y N    19.8625  -14.4772
            12  C8y C    18.6735  -13.7779
            13  C3b C    15.0367  -15.8760
            14  N3a N    15.0367  -17.2748
            15  C8y C    21.1214  -13.7779
            16  C8x C    22.3103  -14.4073
            17  C8x C    23.4993  -13.7079
            18  C8x C    23.4993  -12.3092
            19  C8x C    22.3103  -11.6098
            20  C8x C    21.1214  -12.3092
            21  C8y C    18.6735  -17.9742
            22  N5x N    17.4846  -18.6036
            23  C8x C    17.4846  -20.0024
            24  C8x C    18.6735  -20.7018
            25  C8x C    19.8625  -20.0723
            26  C8x C    19.8625  -18.6735
            27  O5x O    18.6735  -12.3092
            28  O0  O    28.7700  -17.1500
            29  C8x C    13.7779  -12.3092
            30  C8x C    13.7779  -13.7079
            31  C8y C    15.0367  -14.4073
            32  C8y C    16.2257  -13.7079
            33  C8x C    16.2257  -12.3092
            34  C8x C    15.0367  -11.6098
            35  C8y C    17.4846  -14.4772
            36  C8x C    17.4846  -15.8760
            37  C8y C    18.6735  -16.5754
            38  C8x C    19.8625  -15.8760
            39  N4y N    19.8625  -14.4772
            40  C8y C    18.6735  -13.7779
            41  O5x O    18.6735  -12.3092
            42  C8y C    21.1214  -13.7779
            43  C8x C    22.3103  -14.4073
            44  C8x C    23.4993  -13.7079
            45  C8x C    23.4993  -12.3092
            46  C8x C    22.3103  -11.6098
            47  C8x C    21.1214  -12.3092
            48  C8y C    18.6735  -17.9742
            49  N5x N    17.4846  -18.6036
            50  C8x C    17.4846  -20.0024
            51  C8x C    18.6735  -20.7018
            52  C8x C    19.8625  -20.0723
            53  C8x C    19.8625  -18.6735
            54  C3b C    15.0367  -15.8760
            55  N3a N    15.0367  -17.2748
            56  C8x C    13.7779  -12.3092
            57  C8x C    13.7779  -13.7079
            58  C8y C    15.0367  -14.4073
            59  C8y C    16.2257  -13.7079
            60  C8x C    16.2257  -12.3092
            61  C8x C    15.0367  -11.6098
            62  C8y C    17.4846  -14.4772
            63  C8x C    17.4846  -15.8760
            64  C8y C    18.6735  -16.5754
            65  C8x C    19.8625  -15.8760
            66  N4y N    19.8625  -14.4772
            67  C8y C    18.6735  -13.7779
            68  O5x O    18.6735  -12.3092
            69  C8y C    21.1214  -13.7779
            70  C8x C    22.3103  -14.4073
            71  C8x C    23.4993  -13.7079
            72  C8x C    23.4993  -12.3092
            73  C8x C    22.3103  -11.6098
            74  C8x C    21.1214  -12.3092
            75  C8y C    18.6735  -17.9742
            76  N5x N    17.4846  -18.6036
            77  C8x C    17.4846  -20.0024
            78  C8x C    18.6735  -20.7018
            79  C8x C    19.8625  -20.0723
            80  C8x C    19.8625  -18.6735
            81  C3b C    15.0367  -15.8760
            82  N3a N    15.0367  -17.2748
            83  O0  O    28.7700  -17.1500
            84  O0  O    28.7700  -17.1500
            85  O0  O    28.7700  -17.1500
BOND        90
            1     1   2 2
            2     2   3 1
            3     3   4 2
            4     4   5 1
            5     5   6 2
            6     1   6 1
            7     4   7 1
            8     7   8 2
            9     8   9 1
            10    9  10 2
            11   10  11 1
            12   11  12 1
            13    7  12 1
            14    3  13 1
            15   13  14 3
            16   11  15 1
            17   15  16 2
            18   16  17 1
            19   17  18 2
            20   18  19 1
            21   19  20 2
            22   15  20 1
            23    9  21 1
            24   21  22 2
            25   22  23 1
            26   23  24 2
            27   24  25 1
            28   25  26 2
            29   21  26 1
            30   12  27 2
            31   29  30 2
            32   30  31 1
            33   31  32 2
            34   32  33 1
            35   33  34 2
            36   29  34 1
            37   32  35 1
            38   35  36 2
            39   36  37 1
            40   37  38 2
            41   38  39 1
            42   39  40 1
            43   35  40 1
            44   31  54 1
            45   54  55 3
            46   39  42 1
            47   42  43 2
            48   43  44 1
            49   44  45 2
            50   45  46 1
            51   46  47 2
            52   42  47 1
            53   37  48 1
            54   48  49 2
            55   49  50 1
            56   50  51 2
            57   51  52 1
            58   52  53 2
            59   48  53 1
            60   40  41 2
            61   56  57 2
            62   57  58 1
            63   58  59 2
            64   59  60 1
            65   60  61 2
            66   56  61 1
            67   59  62 1
            68   62  63 2
            69   63  64 1
            70   64  65 2
            71   65  66 1
            72   66  67 1
            73   62  67 1
            74   58  81 1
            75   81  82 3
            76   66  69 1
            77   69  70 2
            78   70  71 1
            79   71  72 2
            80   72  73 1
            81   73  74 2
            82   69  74 1
            83   64  75 1
            84   75  76 2
            85   76  77 1
            86   77  78 2
            87   78  79 1
            88   79  80 2
            89   75  80 1
            90   67  68 2
BRACKET     1    13.0900  -21.2100   13.0900  -10.9900
            1    23.9400  -10.9900   23.9400  -21.2100
            1  3
 ORIGINAL  1    1   2   3   4   5   6   7   8   9  10  11  12  27  15  16  17
            1   18  19  20  21  22  23  24  25  26  13  14
 REPEAT    1   29  30  31  32  33  34  35  36  37  38  39  40  41  42  43  44
            1   45  46  47  48  49  50  51  52  53  54  55  56  57  58  59  60
            1   61  62  63  64  65  66  67  68  69  70  71  72  73  74  75  76
            1   77  78  79  80  81  82
            2    26.6000  -18.1300   26.6000  -16.1700
            2    29.8900  -16.1700   29.8900  -18.1300
            2  4
 ORIGINAL  2   28
 REPEAT    2   83  84  85