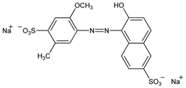
284. Allura Red AC

Nomenclature

CAS number: 25956-17-6
6-Hydroxy-5-[(2-methoxy-5-methyl-4-sulfophenyl)diazenyl]-2-naphthalenesulfonic acid sodium salt (1:2); 6-hydroxy-5-[(2-methoxy-5-methyl-4-sulfophenyl)azo]-2-naphthalenesulfonic acid disodium salt; 6-hydroxy-5-[(6-methoxy-4-sulfo-m-tolyl)azo]-2-naphthalenesulfonic acid disodium salt; 1-[(6-methoxy-4-sulfo-m-tolyl)azo]-2-naphthol-6-sulfonic acid disodium salt; FD & C Red No. 40; C.I. 16035; C.I. Food Red 17.
C18H14N2Na2O8S2; mol wt 496.42.
C 43.55%, H 2.84%, N 5.64%, Na 9.26%, O 25.78%, S 12.92%.

Description and references

Prepn: GB 1164249; Rast, Steiner, US 3519617 (1969, 1970 both to Allied Chem.).

Chemical structure

Properties

Dark red powder. Soly at 25°: water, 22.5%; 50% alcohol, 1.3%.

Use

Color additive in foods, drugs and cosmetics.