375. Amaranth (Dye)

Nomenclature

CAS number: 915-67-3
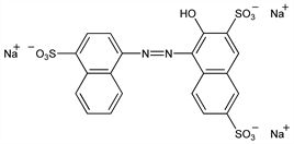
3-Hydroxy-4-[2-(4-sulfo-1-naphthalenyl)diazenyl]-2,7-naphthalenedisulfonic acid sodium salt (1:3); C.I. Acid Red 27; C.I. 16185; FD & C Red No. 2; Red no. 2; 1-(4-sulfo-1-naphthylazo)-2-naphthol-3,6-disulfonic acid trisodium salt.
C20H11N2Na3O10S3; mol wt 604.47.
C 39.74%, H 1.83%, N 4.63%, Na 11.41%, O 26.47%, S 15.91%.

Description and references

Azo dye. Prepn: Knecht, J. Soc. Dyers Colour. 2, 24 (1886). See also Colour Index vol. 4 (3rd ed., 1971) p 4093. Metabolism: J. L. Radomski, T. J. Mellinger, J. Pharmacol. Exp. Ther. 136, 259 (1962). Use as indicator: N. K. Murty, K. R. Rao, J. Indian Chem. Soc. 53, 532 (1976). Stability studies: A. Motawi, S. El-Gamal, Sci. Pharm. 48, 377 (1980). Effect of pH and concentration on reduction: J. Maslowska, J. Janiak, Zesz. Nauk. Politech. Lodz. 1994, 150. Spectrophotometric analysis: C. C. Blanco et al., Talanta 43, 1019 (1996). Review of carcinogenic risk: IARC Monographs 8, 41-60 (1975).

Chemical structure

Properties

Dark, reddish-brown powder. Absorption max at 25°: 520 nm (water); 528 nm (acetone); 520 nm (DMF). One gram dissolves in about 15 ml water. Also reported as 7.20 g/100 ml H2O at 26°. Very slightly sol in ethanol, cellosolve. The aq soln is vivid red (1 cm layer). Discharge white by hydrosulfite on wool and silk. HCl does not change the color intensity of the soln, NaOH increases it. The aq soln is stable toward light.

Use

Dyeing wool and silk bright bluish-red from an acid bath. Food colorant. As indicator. In color photography.