J. Allan, R. Robinson, J. Chem. Soc. 125, 2192 (1924).
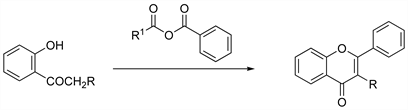
Preparation of flavones or isoflavones by condensing o-hydroxyaryl ketones with anhydrides of aromatic acids and their sodium salts:

S. F. Dyke et al., J. Org. Chem. 26, 2453 (1961); Seshandri in The Chemistry of Flavonoid Compounds, T. A. Geissman, Ed. (New York, 1962) p 182; Gripenberg, ibid. p 411; W. Rahman, K. T. Nasim, J. Org. Chem. 27, 4215 (1962); D. L. Dreyer et al., Tetrahedron 20, 2977 (1964). Synthesis applications: P. K. Dutta et al., Indian J. Chem. 21B, 1037 (1982); T. Horie et al., Chem. Pharm. Bull. 37, 1216 (1989); J. K. Makrandi et al., Synth. Commun. 19, 1919 (1989); E. J. Corey et al., Tetrahedron Lett. 37, 7162 (1996); B. P. Reddy et al., J. Heterocycl. Chem. 33, 1561 (1996). Cf. Baker-Venkataraman Rearrangement; Kostanecki Acylation.