S. von Kostanecki, A. Rozycki, Ber. 34, 102 (1901).
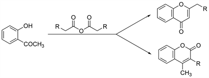
Formation of chromones or coumarins by acylation of o-hydroxyaryl ketones with aliphatic acid anhydrides, followed by cyclization:

W. Baker, J. Chem. Soc. 1933, 1381; C. R. Hauser, Org. React. 8, 91 (1954); T. Szell et al., Tetrahedron 25, 715 (1969); idem et al., Helv. Chim. Acta 52, 2636 (1969); S. R. Save et al., J. Indian Chem. Soc. 48, 675 (1971); Y. A. Shaikh, K. N. Trivedi, ibid. 49, 599, 713 (1972); S. R. Save et al., ibid. 49, 25 (1972). Cf. Allan-Robinson Reaction; Baker-Venkataraman Rearrangement.