612. tert-Amyl Methyl Ether

Nomenclature

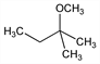
CAS number: 994-05-8
2-Methoxy-2-methylbutane; methyl tert-pentyl ether; 1,1-dimethylpropyl methyl ether; methyl tert-amyl ether; TAME.
C6H14O; mol wt 102.17.
C 70.53%, H 13.81%, O 15.66%.

Description and references

Gasoline octane booster. Prepn: A. Reychler, Bull. Soc. Chim. Belg. 21, 71 (1907); and properties: T. W. Evans, K. R. Edlund, Ind. Eng. Chem. 28, 1186 (1936). Industrial synthesis and processing: H. Short, Chem. Eng. 93, 34 (1986); S. Randriamahefa et al., J. Mol. Catal. 49, 85 (1988); W. J. Reagan, Prepr. Pap. - Am. Chem. Soc. Div. Fuel Chem. 39, 337 (1994). Reaction equilibria in synthesis: L. K. Rihko et al., J. Chem. Eng. Data 39, 700 (1994). Chromatographic and spectroscopic analyses: J. S. Hardman et al., Fuel 72, 1563 (1993). Comparison with MTBE, q.v., of effects on emissions: W. J. Koehl et al., Soc. Automot. Eng. SP-1000, vol 2, 289 (1993). Reaction with nitrate radical (environmental implications): S. Langer, E. Ljungstrm, J. Phys. Chem. 98, 5906 (1994).

Chemical structure

Properties

Liquid, bp760 mm 86.3°. d415 0.7750; d420 0.7703; d425 0.7656; d430 0.7607. nD20 1.3885. Vapor pressure (25°): 75 mm Hg. Soly in water (20°): 1.15g/100g soln.

Use

Fuel additive for gasoline.