614. Amylocaine

Nomenclature

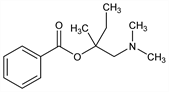
CAS number: 644-26-8
1-(Dimethylamino)-2-methyl-2-butanol 2-benzoate; 1-(dimethylaminomethyl)-1-methylpropyl benzoate; amyleine.
C14H21NO2; mol wt 235.32.
C 71.46%, H 8.99%, N 5.95%, O 13.60%.

Description and references

Prepd by benzoylation of 1-(dimethylamino)-2-methyl-2-butanol: Fourneau, Ribas, Bull. Sci. Pharmacol. 35, 273 (1928), C.A. 22, 29191 (1928).

Chemical structure

Derivative

Hydrochloride.

Nomenclature

CAS number: 532-59-2
Stovaine.
C14H21NO2.HCl; mol wt 271.78.
C 61.87%, H 8.16%, N 5.15%, O 11.77%, Cl 13.04%.

Properties

Crystals, bitter taste, followed by temporary numbness of the tongue. Dec 177-179°. One gram dissolves in 2 ml water, in 3.3 ml abs ethanol. Practically insol in ether. A 5% aq soln is faintly acid to litmus and neutral to Congo red.

Therapeutic Category

Anesthetic (local).

Keywords

Anesthetic (Local)