627. Anatoxins

Nomenclature

ANTXS.

Description and references

First isolated, freshwater neurotoxins present in algal blooms associated with a number of blue-green cyanobacteria including Anabaena. spp., Aphanizomenon spp. and Oscillatoria spp. Responsible for fatal poisoning of cattle and wildlife as well as human illness worldwide. Review: W. W. Carmichael et al., ACS Symp. Ser. 418, 87-106 (1990). Review of occurence, chemistry and analysis: K. Sivonen, Food Sci. Technol. 103, 567-581 (2000).

Chemical structure

Derivative

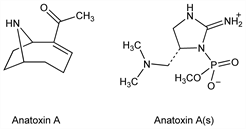
Anatoxin a.

Nomenclature

CAS number: 64285-06-9
1-(1R,6R)-9-Azabicyclo[4.2.1]non-2-en-2-ylethanone; 2-acetyl-9-azabicyclo[4.2.1]non-2ene; (+)-ANTX-a; Very Fast Death Factor.
C10H15NO; mol wt 165.23.
C 72.69%, H 9.15%, N 8.48%, O 9.68%.

Description and references

Alkaloid post-synaptic depolarizing neuromuscular blocker acting as a nicotinic cholinergic receptor agonist. Isoln and purification: J. P. Devlin et al., Can. J. Chem. 55, 1367 (1977). Improved purification: K. Harada et al., Toxicon 27, 1289 (1989). Synthesis: H. F. Campbell et al., Can. J. Chem. 55, 1372 (1977); stereoselective synthesis: M. Skrinjar et al., Tetrahedron: Asymmetry 3, 1263 (1992). TLC determn in algal material: I. Ojanpera et al., Analyst 116, 265 (1991); by LC/MS in cyanobacteria and drinking water: A. Furey et al., Rapid Commun. Mass Spectrom. 17, 583 (2003). Review of syntheses: H. L. Mansell, Tetrahedron 52, 6025-6061 (1996).

Properties

[α]D25 +39.8° (c = 0.676 in abs. ethanol). pKa: 9.4 Degrades readily in sunlight and high pH to non-toxic products. LD50 i.p. in mice: 200 μg/kg (Carmichael).

Derivative

Anatoxin a(s).

Nomenclature

CAS number: 103170-78-1
(5S)-2-Amino-4,5-dihydro-1-[(hydroxymethoxyphosphinyl)oxy]-N,N-dimethyl-1H-imidazole-5-methanamine; ANTX-a(s).
C7H17N4O4P; mol wt 252.21.
C 33.34%, H 6.79%, N 22.21%, O 25.37%, P 12.28%.

Description and references

Irreversible acetylcholinesterase inhibitor; only known organophosphate toxin found in cyanobacteria. The (s) refers to the production of excess saliva upon ingestion. Identification and preliminary purification: N. A. Mahmood, W. W. Carmichael, Toxicon 24, 425 (1986); anticholinesterase activity: eidem, ibid. 25, 1221 (1987). Mechanism of action: E. G. Hyde, W. W. Carmichael, J. Biochem. Toxicol. 6, 195 (1991). Pharmacology in rat: W. O. Cook et al., J. Environ. Pathol. Toxicol. Oncol. 9, 393, (1989). Biosensor determn in water: F. Villatte et al., Anal. Bioanal. Chem. 372, 322 (2002).

Properties

Stable in neutral or acid conditions. LD50 i.p. in mice: 20 μg/kg (Carmichael).

Caution

Overexposure in animals has caused muscle fasciculation, gasping and convulsions and death due to respiratory arrest. Anatoxin a(s) also causes salivation. (Carmichael).