628. Anazolene Sodium

Nomenclature

CAS number: 3861-73-2
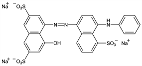
4-Hydroxy-5-[2-[4-(phenylamino)-5-sulfo-1-naphthalenyl]diazenyl]-2,7-naphthalenedisulfonic acid sodium salt (1:3); 4′-anilino-8-hydroxy-1,1′-azonaphthalene-3,5′,6-trisulfonic acid trisodium salt; trisodium 4′-anilino-8-hydroxy-1,1′-azonaphthalene-3,6,5′-trisulfonate; 1-naphthol-3,6-disulfonic acid-8-azo-4′-[N-phenyl-1′-naphthylamine]-8′-sulfonic acid trisodium salt; C.I. Acid Blue 92; C.I. 13390; Sulfone Acid Blue R; Coomassie Blue RL (BASF).
C26H16N3Na3O10S3; mol wt 695.58.
C 44.89%, H 2.32%, N 6.04%, Na 9.92%, O 23.00%, S 13.83%.

Description and references

Prepn: Ulrich, US 611664 (1897 to Bayer); DE 108546 (1899 to Farbwerke Mülheim); Frdl. 5, 497; Beilstein 16, EII, 226; Colour Index vol. 4 (3rd ed., 1971) p 4053. Properties and biological behavior: S. H. Taylor, J. M. Thorp, Br. Heart J. 21, 492 (1959) DOI PubMed. Clinical applications: S. H. Taylor, J. P. Shillingford, ibid. 497 DOI PubMed; I. S. Menzies, J. Clin. Pathol. 19, 179 (1966) DOI PubMed.

Chemical structure

Properties

Reddish-black powder. Soluble in water, acetone, Cellosolve, giving a reddish-blue soln. Slightly sol in alc. Absorption max (water): 565-570 nm; in acetone 585 nm; in human plasma 580-590 nm (E1%1cm about 600). Aq solns are stable and are not affected by light. Solns up to 10% do not stain the skin appreciably. LD50 i.v. in mice: 450 mg/kg (Taylor, Thorp).

Therapeutic Category

Diagnostic aid (cardiac output, blood volume determination).

Keywords

Diagnostic Aid