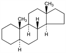
635. Androstane

Nomenclature

CAS number: 438-22-2
(5α)-Androstane; etioallocholane.
C19H32; mol wt 260.46.
C 87.62%, H 12.38%.

Description and references

From androstane-3,17-dione: Butenandt, Tscherning, Z. Physiol. Chem. 229, 185 (1934). From androstane-3,17-diol: Steiger, Reichstein, Helv. Chim. Acta 20, 817 (1937). From Δ16-androstene: Prelog et al., ibid. 27, 66 (1944).

Chemical structure

Properties

Leaflets from acetone-methanol, mp 50-50.5°. Sublimes at 60° and 0.003 mm Hg. [α]D16 +2° (c = 1.2 in chloroform). Sol in acetone, alc, methanol, ether, petr ether, chloroform.

Derivative

17-Amino-HCl.

Properties

Dec 345°: Marker, J. Am. Chem. Soc. 58, 480 (1936).