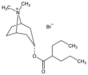
671. Anisotropine Methylbromide

Nomenclature

CAS number: 80-50-2
(3-endo)-8,8-Dimethyl-3-[(1-oxo-2-propylpentyl)oxy]-8-azoniabicyclo[3.2.1]octane bromide; 3α-hydroxy-8-methyl-1αH,H-tropanium bromide 2-propylvalerate; 8-methyltropinium bromide 2-propylvalerate; 8-methyl-3-(2-propylpentanoyloxy)tropinium bromide; octatropine methylbromide; Valpin (Endo).
C17H32BrNO2; mol wt 362.35.
C 56.35%, H 8.90%, Br 22.05%, N 3.87%, O 8.83%.

Description and references

Anticholinergic. Prepn: Weiner, Gordon, US 2962499 (1960 to Endo Labs.). Metabolism: Shindo et al., Chem. Pharm. Bull. 19, 513 (1971). Clinical trial in ulcer: J. H. Bowers et al., J. Clin. Pharmacol. 18, 365 (1978).

Chemical structure

Properties

Crystals from acetone, mp 329°.

Derivative

Methyl chloride.
C17H32ClNO2; mol wt 317.89.
C 64.23%, H 10.15%, Cl 11.15%, N 4.41%, O 10.07%.

Properties

Crystals from acetone, mp 289°.

Therapeutic Category

Antispasmodic.

Keywords

Antimuscarinic; Antispasmodic