715. Antimycin A3

Nomenclature

CAS number: 522-70-3
[2R-(2R*,3S*,6S*,7R*,8R*)]-3-Methylbutanoic acid 8-butyl-3-[[3-(formylamino)-2-hydroxybenzoyl]amino]-2,6-dimethyl-4,9-dioxo-1,5-dioxonan-7-yl ester; isovaleric acid 8-ester with N-(7-butyl-8-hydroxy-4,9-dimethyl-2,6-dioxo-1,5-dioxonan-3-yl)-3-formamidosalicylamide; blastmycin.
C26H36N2O9; mol wt 520.57.
C 59.99%, H 6.97%, N 5.38%, O 27.66%.

Description and references

Antifungal antibiotic substance produced by Streptomyces blastmyceticus from Japanese soil: Watanabe et al., J. Antibiot. 10A, 39 (1957). Sepn from complex: Harada et al., ibid. 11, 32 (1958). Identity of blastmycin with antimycin A3: Liu, Strong, J. Am. Chem. Soc. 81, 4387 (1959). Structural studies: Yonehara, Takeuchi, J. Antibiot. 11, 254 (1958). Structure: van Tamelen et al., J. Am. Chem. Soc. 83, 1639 (1961). Abs config: Kinoshita et al., J. Antibiot. 25, 373 (1972). Total synthesis of diastereomeric mixture: eidem, ibid. 22, 580 (1969); of natural form: eidem, ibid. 24, 724 (1971); eidem, Bull. Chem. Soc. Jpn. 46, 1279 (1973). Improved synthesis: S. Aburaki, M. Kinoshita, ibid. 52, 198 (1979). Chemical studies: Endo, Yonehara, J. Antibiot. 23, 91 (1970).

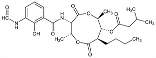
Chemical structure

Properties

Needles from benzene + petr ether, mp 170.5-171.5° (Liu); 174-174.5° (Kinoshita). [α]D26 +64.3° (chloroform) (Liu); [α]D24 +80° (Kinoshita). uv max (methanol): 225, 320 nm (log ε 4.52, 3.86). Moderately sol in methanol, ethanol, ether; freely sol in acetone, ethyl acetate, benzene, chloroform, carbon tetrachloride. Slightly sol in hexane, cyclohexane; very sparingly sol in petr ether. Practically insol in water. LD50 in mice (mg/kg): 1.8 i.p.; 1.6 s.c. (Watanabe).