818. Artesunate

Nomenclature

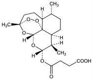
CAS number: 88495-63-0
Butanedioic acid 1-[(3R,5aS,6R,8aS,9R,10S,12R,12aR)-decahydro-3,6,9-trimethyl-3,12-epoxy-12H-pyrano[4,3-j]-1,2-benzodioxepin-10-yl] ester; artesunic acid; dihydroqinghaosu hemisuccinate.
C19H28O8; mol wt 384.42.
C 59.36%, H 7.34%, O 33.30%.

Description and references

Derivative of artemisinin, q.v. Prepn: China Cooperative Research Group on Qinghaosu, J. Tradit. Chin. Med. 2, 9 (1982). Absolute configuration: X.-D. Luo et al., Helv. Chim. Acta 67, 1515 (1984). GC/MS determn.: A. D. Theoharides et al., Anal. Chem. 60, 115 (1988); HPLC determn in plasma: H. Naik et al., J. Chromatogr. B 816, 233 (2005). Pharmacology: Y. Zhao, J. Trop. Med. Hyg. 88, 391 (1985). Antimalarial activity: W. Peters et al., Ann. Trop. Med. Parasitol. 80, 483 (1986); A. J. Lin et al., J. Med. Chem. 30, 2147 (1987). Inhibition of cytochrome oxidase: Y. Zhao et al., J. Nat. Prod. 49, 139 (1986). Toxicology: China Cooperative Research Group on Qinghaosu, J. Tradit. Chin. Med. 2, 31 (1982). Series of articles on chemistry, pharmacology, and antimalarial efficacy: ibid. 3-50. Clinical trial as add-on therapy in pediatric malaria: L. von Seidlein et al., Lancet 355, 352 (2000). Review: R. N. Price, Expert Opin. Invest. Drugs 9, 1815-1827 (2000).

Chemical structure

Properties

Fine white crystalline powder.

Derivative

Sodium salt.

Nomenclature

SM-804.
C19H27NaO8; mol wt 406.40.
C 56.15%, H 6.70%, Na 5.66%, O 31.49%.

Properties

Poor stability in aqueous solutions. LD50 in mice (mg/kg): 520 i.v.; 475 i.m. (China Cooperative Research Group); also reported as 699 ± 58.5 i.v. (Zhao, 1985).

Therapeutic Category

Antimalarial.

Keywords

Antimalarial