855. Astaxanthin

Nomenclature

CAS number: 472-61-7
3,3′-Dihydroxy-β,β-carotene-4,4′-dione; 3,3′-dihydroxy-4,4′-diketo-β-carotene; ovoester.
C40H52O4; mol wt 596.84.
C 80.50%, H 8.78%, O 10.72%.

Description and references

Carotenoid pigment found mostly in animal organisms, but also occurring in plants; thought to be the precursor of astacin, q.v. Structure and isoln from lobster eggs: Kuhn, Srensen, Angew. Chem. 51, 465 (1938); Ber. 71, 1879 (1938). Isoln from other animal organisms: Kuhn et al., Ber. 72, 1688 (1939). Occurrence in plants: Tischer, Z. Physiol. Chem. 267, 281 (1941); in the flower petals of Adonis annua L., Ranunculaceae: Seybold, Goodwin, Nature 184, 1714 (1959). Occurs also in the red feathers of birds of the Laniarius spp: Z. Physiol. Chem. 288, 20 (1951). Stereochemistry and spectra: Grangaud, Compt. Rend. 242, 1767 (1956). Abs config: Andrewes et al., Acta Chem. Scand. B 28, 730 (1974). See also T. W. Goodwin, Carotenoids (Chemical Publ. Co., New York, 1954) pp 167-172. Synthesis: R. D. G. Cooper et al., J. Chem. Soc. Perkin Trans. 1 1975, 2195; F. Kienzle, H. Mayer, Helv. Chim. Acta 61, 2609 (1978); E. Widmer et al., ibid. 64, 2405 (1981); H. Mayer et al., ibid. 2419.

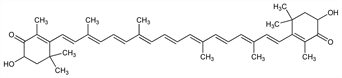
Chemical structure

Properties

Needles from acetone/light petroleum, mp 182-183°. uv max: (CS2) 503 nm; (methanol) 472 nm; (hexane) 466-467 nm; (chloroform) 485 nm (Cooper et al.). Also reported as shiny purple platelets with gold luster from pyridine, mp 216° (some decompn). Readily sol in pyridine, from which it can be cryst by the addn of water (Kuhn, Srensen).

Derivative

Diacetate.
C44H56O6; mol wt 680.91.
C 77.61%, H 8.29%, O 14.10%.

Properties

Stout, blue-black needles, mp 203-205° (vac).