910. Azidocillin

Nomenclature

CAS number: 17243-38-8
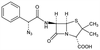
(2S,5R,6R)-6-[[(2R)-Azidophenylacetyl]amino]-3,3-dimethyl-7-oxo-4-thia-1-azabicyclo[3.2.0]heptane-2-carboxylic acid; α-azidobenzylpenicillin; 6-[d-α-azidophenylacetamido]penicillanic acid; SPC-97D; BRL-2351.
C16H17N5O4S; mol wt 375.40.
C 51.19%, H 4.56%, N 18.66%, O 17.05%, S 8.54%.

Description and references

Semi-synthetic antibiotic related to penicillin. Prepn: B. O. H. Sjberg, B. A. Ekstrm, GB 940488; eidem, US 3293242 (1963, 1966 to Beecham); Ekstrm et al., Acta Chem. Scand. 19, 281 (1965). Pharmacology: Hanssen et al., Antimicrob. Agents Chemother. 1967, 568; Tunevall, Frisk, ibid. 573. Chemistry: Sjberg et al., ibid. 560. Metabolic studies: Ramsey et al., Arzneim.-Forsch. 22, 1962 (1972).

Chemical structure

Derivative

Sodium salt.

Nomenclature

CAS number: 35334-12-4
Globacillin (Astra); Longatren (Bayer); Syncillin (Bayer).
C16H16N5NaO4S; mol wt 397.38.
C 48.36%, H 4.06%, N 17.62%, Na 5.79%, O 16.10%, S 8.07%.

Therapeutic Category

Antibacterial.

Therapeutic Category (Veterinary)

Antimicrobial. (In mastitis, as feed supplement).

Keywords

Antibacterial (Antibiotics); β-Lactams; Penicillins