931. Bacampicillin

Nomenclature

CAS number: 50972-17-3
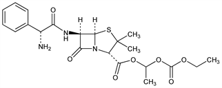
(2S,5R,6R)-6-[[(2R)-Aminophenylacetyl]amino]-3,3-dimethyl-7-oxo-4-thia-1-azabicyclo[3.2.0]heptane-2-carboxylic acid 1-[(ethoxycarbonyl)oxy]ethyl ester; (2S,5R,6R)-6-[(R)-(2-amino-2-phenylacetamido)]-3,3-dimethyl-7-oxo-4-thia-1-azabicyclo[3.2.0]heptane-2-carboxylic acid ester with ethyl 1-hydroxyethyl carbonate; 6-[(R)-2-amino-2-phenylacetamido]penicillanic acid [1-(ethoxycarbonyloxy)ethyl] ester; 1′-ethoxycarbonyloxyethyl 6-(d-α-aminophenylacetamido)penicillanate.
C21H27N3O7S; mol wt 465.52.
C 54.18%, H 5.85%, N 9.03%, O 24.06%, S 6.89%.

Description and references

Semi-synthetic antibiotic related to penicillin. Prepn: B. A. Ekstrom, B. O. H. Sjoberg, DE 2144457; eidem, US 3873521 and US 3939270 (1972, 1975 and 1976 all to Astra). In vitro and in vivo study: N. O. Bodin et al., Antimicrob. Agents Chemother. 8, 518 (1975). Pharmacokinetics: M. Rozencweig et al., Clin. Pharmacol. Ther. 19, 592 (1976); T. Bergan, Antimicrob. Agents Chemother. 13, 971 (1978). Animal studies: C. Carbon et al., Scand. J. Infect. Dis. Suppl. 14, 127 (1978); T. Bergan, I. Versland, ibid. 135; U. Forsgren et al., ibid. 207. Clinical studies: P. V. Maesen et al., J. Antimicrob. Chemother. 2, 279 (1976); J. Sjvall, J. Int. Med. Res. 5, 313 (1977); C. Ekedahl et al., Scand. J. Infect. Dis. Suppl. 14, 279 (1978). Toxicology: M. Edanaga et al., Chemotherapy (Tokyo) 27, Suppl. 4, 17 (1979).

Chemical structure

Derivative

Hydrochloride.

Nomenclature

CAS number: 37661-08-8
Ambacamp (Pharmacia & Upjohn); Ambaxin (Pharmacia); Bacacil (Rottapharm); Bacampicine (Pharmacia & Upjohn); Penglobe (AstraZeneca).
C21H27N3O7S.HCl; mol wt 501.98.
C 50.25%, H 5.62%, N 8.37%, O 22.31%, S 6.39%, Cl 7.06%.

Properties

White crystals from acetone-petr ether, mp 171-176° (dec). [α]D20 +161.5°, also reported as +173° (Bodin). Sol in water. LD50 in mice (mg/kg): 8529 orally; 176 i.p.; 9475 s.c.; 184 i.v. (Edanaga).

Therapeutic Category

Antibacterial.

Keywords

Antibacterial (Antibiotics); β-Lactams; Penicillins