1160. Berninamycin

Nomenclature

CAS number: 58798-97-3
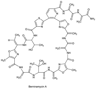
Berninamycin A.
C51H51N15O15S; mol wt 1146.11.
C 53.45%, H 4.49%, N 18.33%, O 20.94%, S 2.80%.

Description and references

Major component of cyclic peptide antibiotic complex also containing minor component Berninamycin B ( C51H51N15O14S ). Isoln from Streptomyces bernesis Dietz: M. E. Bergy et al., US 3689639 (1972). Inhibition of protein synthesis: F. Reusser, Biochemistry 8, 3303 (1969); J. Thompson et al., J. Gen. Microbiol. 128, 875 (1982). Structural studies and characterization of degradation product berninamycinic acid, a novel sulfur containing moiety: J. M. Liesch et al., J. Am. Chem. Soc. 98, 299 (1976); J. M. Liesch et al., ibid. 8237; J. M. Liesch, K. L. Rinehart, Jr., ibid. 99, 1645 (1977). Revised structure: H. Abe et al., Tetrahedron Lett. 29, 1401 (1988). Confirmation of structures: R. C. M. Lau, K. L. Rinehart, J. Antibiot. 47, 1466 (1994). Biosynthetic study: C. J. Pearce, K. L. Rinehart, Jr., J. Am. Chem. Soc. 101, 5069 (1979). Use as growth permittant: R. M. Pellegrino, EP 112233 (1984 to Merck & Co.). Synthesis of berninamycinic acid: T. R. Kelly et al., Tetrahedron Lett. 25, 2127 (1984).

Chemical structure

Properties

White crystals, mp >290°. Sol in DMF, methanol, ethanol, propanol, butanol. Relatively insol in water, ether, cyclohexane, benzene, acetone, ethyl acetate. uv max (methanol): 208, 236 nm (A = 62.4, 64.4).

Derivative

Berninamycinic acid.
C12H6N2O5S; mol wt 290.25.
C 49.66%, H 2.08%, N 9.65%, O 27.56%, S 11.05%.

Properties

Golden needles, mp 210° (dec). pKa 5.8. Insol in water. uv max (0.01N HCl): 228, 272 nm (ε 13500, 13500); uv max (0.01N NaOH): 232, 294 nm (ε 9500, 13000).

Note

The characteristics of berninamycin are similar to those previously reported in the literature for theiomycetin: M. Shibata, Takeda Kenkyusho Nempo 18, 44 (1959), C.A. 54, 19840c (1960).