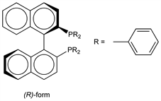
1223. BINAP

Nomenclature

CAS number: 98327-87-8
[1,1′-Binaphthalene]-2,2′-diylbis[diphenylphosphine]; 2,2′-bis(diphenylphosphino)-1,1′-binaphthyl.
C44H32P2; mol wt 622.67.
C 84.87%, H 5.18%, P 9.95%.

Description and references

Axially disymmetric bis(triaryl)phosphine ligand. Synthesis: A. Miyashita et al., J. Am. Chem. Soc. 102, 7932 (1980); preparative scale synthesis of enantiomers: eidem, Tetrahedron 40, 1245 (1984). Review of asymmetric synthesis by metal-BINAP catalysts: S. Akutagawa, Appl. Catal. A 128, 171-207 (1995). Review of industrial applications: H. Kumobayashi, Rec. Trav. Chim. 115, 201-210 (1996); idem et al., Synlett 2001, S1 1055-1064.

Chemical structure

Derivative

(R)-(+)-Form.

Nomenclature

CAS number: 76189-55-4

Properties

Crystals from benzene/ethanol, mp 240-241°. [α]D25 +229° (c = 0.32 in benzene).

Derivative

(S)-(-)-Form.

Nomenclature

CAS number: 76189-56-5

Properties

Crystals from benzene/ethanol, mp 241-242°. [α]D25 -229° (c = 0.31 in benzene).

Use

Chiral ligand for metal mediated asymmetric catalysis.