1231. Biotin

Nomenclature

CAS number: 58-85-5
Hexahydro-2-oxo-1H-thieno[3,4-d]imidazole-4-pentanoic acid; cis-tetrahydro-2-oxothieno[3,4-d]imidazoline-4-valeric acid; cis-hexahydro-2-oxo-1H-thieno[3,4]imidazole-4-valeric acid; vitamin H; coenzyme R; bios II; Biodermatin (Lafare).
C10H16N2O3S; mol wt 244.31.
C 49.16%, H 6.60%, N 11.47%, O 19.65%, S 13.12%.

Description and references

Growth factor present in minute amounts in every living cell. Plays an indispensable role in numerous naturally occurring carboxylation reactions. Occurs mainly bound to proteins or polypeptides. The richest sources are liver, kidney, pancreas, yeast, and milk. The biotin content of cancerous tumors is higher than that of normal tissue. Biotin combines with the proteinaceous substance, avidin, in raw egg-white and becomes inactive. When on diets contg large amounts of raw egg-white the rat or chick develops characteristic skin lesions and growth is retarded; these symptoms can be prevented by feeding additional biotin. Isoln from egg yolk: K"ogl, T"onnis, Z. Physiol. Chem. 242, 43 (1936); from liver: Gy"orgy et al., J. Biol. Chem. 131, 745 (1939); du Vigneaud et al., ibid. 140, 643 (1941). Identity of biotin with vitamin H: du Vigneaud et al., Science 92, 62 (1940). Structure: du Vigneaud et al., J. Biol. Chem. 146, 475 (1942). First synthesis: Harris et al., J. Am. Chem. Soc. 67, 2096 (1945). Configuration: Traub, Nature 178, 649 (1956). Stereospecific total synthesis of the naturally occurring d-form: P. N. Confalone et al., J. Am. Chem. Soc. 97, 5936 (1975); eidem, J. Org. Chem. 42, 1630 (1977); T. Ogawa et al., Carbohydr. Res. 57, C31 (1977); F. G. M. Vogel et al., Ann. 1980, 1972; R. R. Schmidt, M. Maier, Synthesis 1982, 747. Synthesis of the dl-form: P. N. Confalone et al., Helv. Chim. Acta 59, 1005 (1976); M. Marx et al., J. Am. Chem. Soc. 99, 6794 (1977); A. Fliri, K. Hohenlohe-Oehringen, Ber. 113, 607 (1980); Ph. Rossy et al., Tetrahedron Lett. 22, 3493 (1981). Biosynthetic studies: R. J. Parry, M. G. Kunitani, J. Am. Chem. Soc. 98, 4024 (1976); R. J. Parry, M. V. Naidu, Tetrahedron Lett. 1980, 4783. Coordination properties: H. Siegel, Experientia 37, 789 (1981). Mechanism of action: M. J. Cravey, H. Kohn, J. Am. Chem. Soc. 102, 3928 (1980); D. L. Vesely, Science 216, 1329 (1982). Reviews: A. F. Wagner, K. Folkers, Vitamins and Coenzymes (Wiley, New York, 1964) pp 138-159; Harris in The Vitamins vol. II, W. H. Sebrell, R. S. Harris, Eds. (Academic Press, New York, 2nd ed., 1968) pp 261-359; D. B. McCormick, Nutr. Rev. 33, 97-102 (1975). Review of assay methods: P. Gy"orgy, The Vitamins vol. VII, P. Gyorgy, W. N. Pearson, Eds. (1967) pp 303-313.

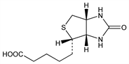
Chemical structure

Properties

Characteristics of biotin isolated from liver or milk (K"ogl's β-biotin): fine long needles, mp 232-233°. [α]D21 +91° (c = 1 in 0.1N NaOH). Isoelec pt pH 3.5. pH of 0.01% aq soln 4.5. Soly at 25° (mg/100 ml): water ≈22; 95% alc ≈80. More sol in hot water and in dil alkali. Insol in other common organic solvents. The pure compd is stable to air and temp. Moderately acid and neutral solns are stable several months; alkaline solns are less stable, but appear reasonably stable up to a pH of about 9. Aq solns are very susceptible to mold growth. Acidic solns can be heat sterilized.

Therapeutic Category

Vitamin (enzyme cofactor).

Therapeutic Category (Veterinary)

Vitamin (enzyme cofactor).

Keywords

Vitamin/Vitamin Source