1232. Biotin l-Sulfoxide

Nomenclature

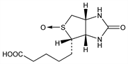
CAS number: 3376-83-8
[3aS-(3aα,4β,5β,6aα)]-Hexahydro-2-oxo-1H-thieno[3,4-d]imidazole-4-pentanoic acid 5-oxide; AN factor.
C10H16N2O4S; mol wt 260.31.
C 46.14%, H 6.20%, N 10.76%, O 24.59%, S 12.32%.

Description and references

Isolated from Aspergillus niger culture filtrate where growth had taken place in the presence of pimelic acid; also from milk residue concentrates or by synthesis: Melville, J. Biol. Chem. 208, 495 (1954); Wright et al., J. Am. Chem. Soc. 76, 4163 (1954).

Chemical structure

Properties

Polymorphic plates from water, mp 238° (some dec). [α]D20 -39.5° (c = 1.01 in 0.1N NaOH). Ineffective in curing the biotin deficiency syndrome when administered to rats at a level 100 times the effective dose of biotin.