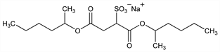
1255. Bis(1-methylamyl) Sodium Sulfosuccinate

Nomenclature

CAS number: 6001-97-4
Sulfobutanedioic acid 1,4-bis(1-methylpentyl) ester sodium salt; dihexyl sodium sulfosuccinate; Aerosol MA; Alphasol MA.
C16H29NaO7S; mol wt 388.45.
C 49.47%, H 7.52%, Na 5.92%, O 28.83%, S 8.25%.

Description and references

The bis(1-methylamyl) ester of sulfosuccinic acid monosodium salt, perhaps in admixture with the dihexyl ester. Prepd by the action of the appropriate alcohols on maleic anhydride followed by addition of sodium bisulfite: A. O. Jaeger, US 2028091; US 2176423 (1936, 1939 both to Am. Cyanamid); FR 776495 (1935 to Selden Co.).

Chemical structure

Properties

Available as white, slightly hygroscopic, wax-like pellets. Must be soaked to dissolve in cold water. Dissolves rapidly in hot water. Solubility in water at 25° = 343 g/l; at 70° = 447 g/l. Maximum concn of electrolyte soln in which 1% of the wetting agent is sol: 2% NaCl; 2% NH4Cl; 14% (NH4)2HPO4; 3% NaNO3 (slightly turbid); 3% Na2SO4. Also sol in pine oil, oleic acid, acetone, kerosene, carbon tetrachloride, 2B ethanol, benzene, hot olive oil, glycerol. Insol in liquid petrolatum. Stable in acid and neutral solns, hydrolyzes in alkaline solns.

Use

Wetting agent.