1372. Brevetoxins

Nomenclature

BTX.

Description and references

Structurally unique marine neurotoxins produced by the “red-tide” dinoflagellate Ptychodiscus brevis Davis (Karenia brevis, formerly Gymnodinium breve Davis). Dense growths of these algae have been responsible for massive fish kills, mollusk poisoning and human food poisoning in the Gulf of Mexico and along the Florida coast, cf. Marine Natural Products, P. J. Scheuer, Ed. (Academic Press, New York, 1978). Unlike previously isolated dinoflagellate toxins, such as saxitoxin, q.v., which are water-soluble sodium channel blockers, the brevetoxins are lipid-soluble sodium channel activators. Isoln of brevetoxins A, B, and C and structure of B, the major component: Y. Y. Lin et al., J. Am. Chem. Soc. 103, 6773 (1981). Structure of C: J. Golik et al., Tetrahedron Lett. 23, 2535 (1982). Structure of A, the most potent toxin: Y. Shimizu et al., J. Am. Chem. Soc. 108, 514 (1986). Synthetic approaches to brevetoxin B: K. C. Nicolau et al., Chem. Commun. 1985, 1359. Absolute configuration: Y. Shimizu et al., Chem. Commun. 22, 1656 (1987). Biosynthetic study: H. N. Chou, Y. Shimizu, J. Am. Chem. Soc. 109, 2184 (1987). ELISA determn in seawater, shellfish and biological fluids: J. Naar et al., Environ. Health Perspect. 110, 179 (2002). Series of articles on pharmacology of brevetoxins: Toxicon 23, 469-524 (1985); on exposures and health effects of aerosolized toxins: Environ. Health Perspect. 113, 618-657 (2005). Review of chemistry: K. Nakanishi, ibid. 473; of pharmacology, toxicokinetics and determn: M. A. Poli, Recent Adv. Marine Biotechnol. 7, 1-3 (2002). For additional information on red tide algae, see Toxic Dinoflagellate Blooms, D. L. Taylor, H. H. Seliger, Eds. (Elsevier, New York, 1979) pp 327-354.

Chemical structure

Derivative

Brevetoxin A.

Nomenclature

GB-1.
C49H70O13; mol wt 867.07.
C 67.88%, H 8.14%, O 23.99%.

Properties

Fine prisms from acetonitrile, mp 197-199°; 218-220° (double melting point). LC100 in guppies: 4 ng/ml (Shimizu).

Derivative

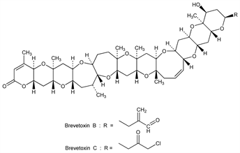
Brevetoxin B.

Nomenclature

BTX-B; GB-2; T-34; T-47.
C50H70O14; mol wt 895.08.
C 67.09%, H 7.88%, O 25.02%.

Properties

Needles from acetonitrile, mp 270° (dec). uv max (methanol): 208 nm (ε 16000, enal). LC50 (1 hr) in fresh water “zebra” fish, Brachydanio rerio: 16 ng/ml (Lin).

Derivative

Brevetoxin C.

Nomenclature

BTX-C.
C49H69ClO14; mol wt 917.52.
C 64.14%, H 7.58%, Cl 3.86%, O 24.41%.

Properties

uv max (methanol): 208 nm (ε 11300, ene-lactone). LC50 (1 hr) in fresh water “zebra” fish: 30 ng/ml (Lin).

Use

As tools in neurochemical research.