1373. Brilliant Blue FCF

Nomenclature

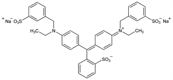
CAS number: 3844-45-9
N-Ethyl-N-[4-[[4-[ethyl[(3-sulfophenyl)methyl]amino]phenyl](2-sulfophenyl)methylene]-2,5-cyclohexadien-1-ylidene]-3-sulfobenzenemethanaminium inner salt, disodium salt; FD & C Blue No. 1; C.I. Acid Blue 9; C.I. Food Blue 2; C.I. 42090.
C37H34N2Na2O9S3; mol wt 792.85.
C 56.05%, H 4.32%, N 3.53%, Na 5.80%, O 18.16%, S 12.13%.

Description and references

Discovered by Sandmeyer in 1896: Colour Index vol. 4 (3rd ed., 1971) p 4385. Also prepared as the diammonium salt. Metabolism: S. M. Hess, O. G. Fitzhugh, J. Pharmacol. Exp. Ther. 114, 38 (1955); J. P. Brown et al., Food Cosmet. Toxicol. 18, 1 (1980). Toxicology: E. Gross, Z. Krebsforsch. 64, 287 (1961); W. A. Mannell, H. C. Grice, J. Pharm. Pharmacol. 16, 56 (1964); W. H. Hansen et al., Toxicol. Appl. Pharmacol. 8, 29 (1966). Chronic toxicity and carcinogenicity: J. F. Borzelleca et al., Food Chem. Toxicol. 28, 221 (1990). Review of carcinogenicity studies: IARC Monographs 16, 171-186 (1978).

Chemical structure

Properties

Reddish-violet powder or granules with a metallic lustre. Absorption max: 630 nm. Sol in water, ethanol. Practically insol in vegetable oils. Pale amber soln in conc H2SO4, changing to yellow then greenish blue on dilution. LD50 s.c. in mice: 4.6 g/kg (Gross).

Use

Colorant in food, drugs and cosmetics. Biological stain; textile dye; wood stain; indicator.