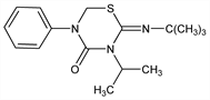
1498. Buprofezin

Nomenclature

CAS number: 69327-76-0
2-[(1,1-Dimethylethyl)imino]tetrahydro-3-(1-methylethyl)-5-phenyl-4H-1,3,5-thiadiazin-4-one; 2-tert-butylimino-3-isopropyl-5-phenylperhydro-1,3,5-thiadiazin-4-one; NNI-750; NNK-758; NN-29285; PP-618; Applaud (Nihon Nohyaku).
C16H23N3OS; mol wt 305.44.
C 62.92%, H 7.59%, N 13.76%, O 5.24%, S 10.50%.

Description and references

Insect growth regulator which inhibits chitin synthesis. Prepn: Z. Grünecker et al., DE 2824126; K. Ikeda et al., US 4159328 (1978, 1979 both to Nihon Nohyaku); H. Kanno, Pure Appl. Chem. 59, 1027 (1987). Mode of action study: T. Asai et al., Appl. Entomol. Zool. 20, 111 (1985). Control of whiteflies and scale insects: I. Ishaaya et al., Meded. Fac. Landbouwwet. Univ. Gent 54, 1003 (1989). GC-MS determn in clementine citrus: P. Cabras et al., J. Agric. Food Chem. 46, 4255 (1998). Persistence in olives and olive oil: idem et al., Food Addit. Contam. 17, 855 (2000). Review of physical properties, activity and field trials: H. Kanno et al., Proc. Br. Crop Prot. Conf. - Pests Dis. 1981, 59-66.

Chemical structure

Properties

Crystals from isopropyl alcohol, mp 106.1°. Soly at 25° (g/l): acetone 240, chloroform 520, ethanol 80, toluene 320; water 0.9 mg/l. Vapor pressure at 25°: 9.4 × 10-6 mmHg. LD50 in mice, rats (mg/kg): 10000, 8740 orally. LC50 (48 hr) in carp: 2-10 mg/l (Kanno, 1981).

Use

Insecticide.