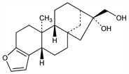
1634. Cafestol

Nomenclature

CAS number: 469-83-0
[3bS-(3bα,5aβ,7β,8β,10aα,10bβ)]-3b,4,5,6,7,8,9,10,10a,10b,11,12-Dodecahydro-7-hydroxy-10b-methyl-5a,8-methano-5aH-cyclohepta[5,6]naphtho[2,1-b]furan-7-methanol; cafesterol.
C20H28O3; mol wt 316.43.
C 75.91%, H 8.92%, O 15.17%.

Description and references

Diterpenoid constituent of coffee. Isoln from green coffee oil: Slotta, Neisser, Ber. 71, 1991, 2342 (1938); C. Djerassi et al., J. Org. Chem. 18, 1449 (1953). Prepn and purification: R. Bertholet, US 4692534 (1987 to Nestec). Structure: C. Djerassi et al., J. Am. Chem. Soc. 81, 2386 (1959); R. A. Finnegan, C. Djerassi, ibid. 82, 4342 (1960). Stereochemical studies: R. A. Finnegan, J. Org. Chem. 26, 3057 (1961); A. I. Scott et al., J. Am. Chem. Soc. 84, 3197 (1962); A. I. Scott et al., Tetrahedron 20, 1339 (1964). Stereospecific total synthesis of (±)-form: E. J. Corey et al., J. Am. Chem. Soc. 109, 4717 (1987).

Chemical structure

Properties

Crystals from hexane, mp 158°-l60°. [α]D -101°. uv max: 222 nm (log ε 3.78).

Derivative

Acetate.
C22H30O4; mol wt 358.47.
C 73.71%, H 8.44%, O 17.85%.

Properties

Needles from petr ether, mp 167-168°. [α]D -89°. uv max: 222 nm (log ε 3.80).

Derivative

Tetrahydrocafestol.
C20H32O3; mol wt 320.47.
C 74.96%, H 10.06%, O 14.98%.

Properties

Crystals from dil methanol, mp 154.5-157°.