1639. Calcimycin

Nomenclature

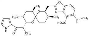
CAS number: 52665-69-7
5-(Methylamino)-2-[[(2R,3R,6S,8S,9R,11R)-3,9,11-trimethyl-8-[(1S)-1-methyl-2-oxo-2-(1H-pyrrol-2-yl)ethyl]-1,7-dioxaspiro[5.5]undec-2-yl]methyl]-4-benzoxazolecarboxylic acid; antibiotic A-23187; A-23187.
C29H37N3O6; mol wt 523.62.
C 66.52%, H 7.12%, N 8.02%, O 18.33%.

Description and references

Polyether antibiotic produced by a strain of Streptomyces chartreusensis Calhoun and Johnson NRRL 3882. Activity as a divalent cation ionophore in isolated mitochondria: P. W. Reed, H. A. Lardy, J. Biol. Chem. 247, 6970 (1972). Prepn and antimicrobial activity: R. M. Gale et al., US 3923823 (1975 to Lilly). Elucidation of structure: M. O. Chaney et al., J. Am. Chem. Soc. 96, 1932 (1974). Spectral studies of ionophore and metal ion complexes: D. R. Pfeiffer et al., Biochemistry 13, 4007 (1974). Total synthesis and absolute configuration: D. A. Evans et al., J. Am. Chem. Soc. 101, 6789 (1979); P. A. Grieco et al., J. Org. Chem. 45, 3537 (1980). Stereospecific synthesis: G. R. Martinez et al., J. Am. Chem. Soc. 104, 1436 (1982); D. P. Negri, Y. Kishi, Tetrahedron Lett. 28, 1063 (1987). Review of cation binding and transport properties: D. R. Pfeiffer et al., Ann. N.Y. Acad. Sci. 307, 402-423 (1978). Use in model systems of calcium transport: M. Takamori et al., J. Neurol. Sci. 50, 89 (1981); M. Takamori et al., ibid. 51, 207 (1981); M. H. Freedman et al., Cell. Immunol. 58, 134 (1981); G. Thomas, Eur. J. Pharmacol. 81, 35 (1982); V. L. Lew, J. Garcia-Sancho, Cell Calcium 6, 15 (1985).

Chemical structure

Properties

Crystalline solid, mp 181-182°. [α]D25 -56° (c = 1 in chloroform). uv max (ethanol): 204, 225, 278, 378 nm (E 28200, 26200, 18200, 8200). pKa1 6.9 in 90% DMSO. Slightly sol in water, readily sol in ethyl acetate, chloroform, methanol, DMSO. Also reported as mp 184.5-186° (Evans, 1979). LD50 i.p. in mice: 10 mg/kg (Gale).

Derivative

Mixed calcium-magnesium salt.

Properties

Colorless crystalline solid, mp 230-250° (dec). uv max (ethanol, neutral): 202, 228, 303, 370 nm (E1%1cm 425, 490, 278, 109). Insol in water, pentane, hexane, heptane. Very slightly sol in methanol, DMSO. Very sol in methylene chloride, chloroform, acetone, methyl ethyl ketone, diethyl ketone, ethyl acetate.

Use

Biochemical tool used to study the role of divalent cations in various biological systems.