1653. Calcium Borogluconate

Nomenclature

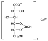
CAS number: 5743-34-0
d-Gluconic acid cyclic 4,5-ester with boric acid calcium salt (2:1); calcium diborogluconate.
C12H20B2CaO16; mol wt 481.98.
C 29.90%, H 4.18%, B 4.49%, Ca 8.32%, O 53.11%.

Description and references

Prepn and use in milk fever: H. Dryerre, J. R. Greig, Vet. Rec. 15, 456 (1935); H. T. Macpherson, J. Stewart, Biochem. J. 32, 76 (1938). Physical properties: L. Seekles, E. Havinga, Nor. Veterinaertidsskr. 58, No. 11, 433-445 (1946), C.A. 43, 1907 (1949). Effect on plasma calcium concentration in sheep: D. A. H. Farningham, Res. Vet. Sci. 39, 70 (1985). Spectrophotometric determn in plasma: D. J. Lyons, K. P. Spann, J. Assoc. Off. Anal. Chem. 68, 160 (1985). Evaluation in bovine milk fever: P. A. Mullen, Vet. Rec. 97, 87 (1975).

Chemical structure

Properties

Crystals, freely sol in water. Soly in water 1:1 at 15°: 2.8:1 at 100°. A 20% aq soln has a pH of 3.5. If desired, the pH may be adjusted to 7.0 by the addition of CaO which is very sol in Ca borogluconate solns.

Therapeutic Category (Veterinary)

In hypocalcemic states including bovine milk fever.