1733. Camphoric Acid

Nomenclature

CAS number: 5394-83-2
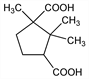
1,2,2-Trimethyl-1,3-cyclopentanedicarboxylic acid; dextrocamphoric acid.
C10H16O4; mol wt 200.23.
C 59.98%, H 8.05%, O 31.96%.

Description and references

By oxidation of camphor: Bredt, Ber. 26, 3047 (1893). Synthesis: Perkin, Thorpe, J. Chem. Soc. 89, 799 (1906); Toivonan, Acta Chem. Scand. 2, 597 (1948).

Chemical structure

Properties

Leaflets from water, monoclinic prisms from alc, mp 186-188°. d 1.186. [α]D20 +47 to +48° (alc). One gram dissolves in 125 ml water, 10 ml boiling water, 1 ml alc, 20 ml glycerol; sol in chloroform, ether, fats, oils.