1771. Captafol

Nomenclature

CAS number: 2425-06-1
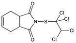
3a,4,7,7a-Tetrahydro-2-[(1,1,2,2-tetrachloroethyl)thio]-1H-isoindole-1,3(2H)-dione; N-(1,1,2,2-tetrachloroethylthio)-4-cyclohexene-1,2-dicarboximide; N-(1,1,2,2-tetrachloroethylmercapto)-4-cyclohexene-1,2-dicarboximide; N-(1,1,2,2-tetrachloroethylthio)-Δ4-tetrahydrophthalimide; N-(1,1,2,2-tetrachloroethylsulfenyl)-cis-4-cyclohexene-1,2-dicarboximide; Difolatan.
C10H9Cl4NO2S; mol wt 349.06.
C 34.41%, H 2.60%, Cl 40.63%, N 4.01%, O 9.17%, S 9.19%.

Description and references

N-tetrachloroethyl analog of captan, q.v. Prepn: Kohn, BE 633205 (1963 to California Res. Corp.), C.A. 60, 15789cd (1964). Toxicology: R. Ben-Dyke et al., World Rev. Pest Control 9, 119 (1970); G. L. Kennedy, Jr. et al., Food Cosmet. Toxicol. 13, 55 (1975). Carcinogenicity study: S. Tamano et al., Jpn. J. Cancer Res. 81, 1222 (1990).

Chemical structure

Properties

Crystals, mp 160-161°. LD50 in rats, rabbits (mg/kg): 2500-6200 orally; 15400 dermally (Ben-Dyke).

Caution

Potential symptoms of overexposure are irritation of eyes, skin, respiratory system; dermatitis, skin sensitization; conjunctivitis; bronchitis, wheezing; diarrhea, vomiting; liver and kidney injury; high blood pressure. See NIOSH Pocket Guide to Chemical Hazards (DHHS/NIOSH 97-140, 1997) p 50.

Use

Agricultural fungicide, especially for potatoes.